10.14718/revfinanzpolitecon.v17.2025.2

Artículo de investigación
© 2024 Universidad Católica de Colombia.
Facultad de Ciencias Económicas y Administrativas.
Todos los derechos reservados




Transmisión entre los precios de los ADR y de las acciones colombianas que cotizan en bolsa:
un análisis VAR-X y VEC-X

Transmission Between the Prices of ADRs and Colombian Stocks Listed on the Stock Exchange:
a VAR-X and VEC-X Analysis


José Rodrigo Vélez-Molano 1
María Inés Barbosa-Camargo 2
Andrea Paola Andrade-Molero 3
Michael Steven Ávila-Calderón 4

1 Economista y magíster en Ciencias Económicas.
Docente investigador, Universidad de La Salle, Bogotá (Colombia).  
jrvelez@unisalle.edu.co.
0000-0001-7385-7935

2 Economista y magíster en Ciencias Económicas.
Doctora en Análisis Económico Aplicado e Historia Económica.
Docente investigadora, Universidad de La Salle, Bogotá (Colombia).
mibarbosa@unisalle.edu.co.
0000-0002-7705-7983

3 Profesional en Finanzas y Comercio Internacional, Universidad de La Salle, Bogotá (Colombia).
aandrade11@unisalle.edu.co.
0009-0007-6411-3919

4 Profesional en Finanzas y Comercio Internacional, Universidad de La Salle, Bogotá (Colombia).
mavila67@unisalle.edu.co.
0009-0009-1391-178X


Recibido: 23 de febrero de 2024
Evaluado: 10 de octubre de 2024
Aprobado: 1 de diciembre de 2024


Resumen

Los American Deposit Receipts (ADR) son herramientas que han permitido a las empresas iniciar procesos de internacionalización por medio de emisiones de acciones orientadas a inversionistas en el mercado estadounidense. Bajo esta premisa, la presente investigación contribuye a la caracterización de los ADR y el mercado colombiano al identificar la naturaleza de la relación entre el precio de estos activos mediante la estimación de modelos VAR-X y VEC-X y el análisis de la función impulso-respuesta, ejercicio que a la fecha no se encuentra en la literatura local. El periodo de análisis es específico para cada especie y, en general, comprende desde el inicio de cotización del ADR hasta la última fecha disponible. Dentro de los principales resultados se encuentra que los precios de los ADR se "mueven" primero e influencian el precio de las acciones en el mercado local en un lapso de entre uno y cuatro meses. Lo anterior implica que una vez las empresas se listan en el mercado estadounidense son los inversionistas extranjeros los que dominan los movimientos de la especie a nivel local.

Palabras clave: acciones; mercados de capitales; American Deposit Receipts - ADR; Modelo VAR y VEC; Función impulso respuesta.

Clasificación JEL: G11, G14, C32, C52.


Abstract

American Deposit Receipts (ADRs) are tools that have enabled companies to embark on internationalization processes through the issuance of shares targeted at investors in the U.S. market. Building on this premise, this research contributes to the characterization of ADRs and the Colombian market by identifying the nature of the relationship between the price of these assets through the estimation of VAR-X and VEC-X models and the impulse-response function analysis, an approach that has not yet been addressed in the local literature. The analysis period is specific to each security and, in general, spans from the initial listing of the ADR to the latest available date. Among the key findings is that ADR prices tend to "move" first and influence the price of shares in the local market within a timeframe of one to four months. This suggests that once companies are listed in the U.S. market, foreign investors dominate the movements of the security at the local level.

Keywords: Stocks; capital markets; ADR; VAR; impulse-response.


INTRODUCCIÓN

En el año de 1927, JP Morgan introdujo al mercado estadounidense el primer ADR, cuyo emisor fue una popular empresa británica de retail llamada Selfridges PLC (JP Morgan Chase & Co, 2007). Desde entonces, este vehículo ha adquirido una gran popularidad, y a enero de 2024 totalizan, entre listados y no listados, más de 2.400 títulos (JP Morgan, 2024); como punto de comparación se tiene que el total de empresas listadas en los mercados accionarios estadounidenses suma algo más de 6.000 (Statista, 2023), es decir, los ADR representan aproximadamente el 60% del número de empresas listadas en el mercado estadounidense.

De esta manera, los ADR se definen como un certificado negociable emitido por un banco estadounidense, que representa un número específico de acciones de una compañía que no está registrada como tal en la jurisdicción de Estados Unidos (SEC, 2012). Por ejemplo, la empresa A en Colombia tiene listadas sus acciones en la Bolsa de Valores de Colombia (BVC) y Bank of America (banco de Estados Unidos) emite, con o sin autorización de la empresa A, un certificado que representa un número específico de acciones para vender a inversionistas en Estados Unidos bien sea por un mercado organizado o por un mercado mostrador (para una descripción legal y normativa más detallada se puede consultar a Royston [1985] y Aggarwal et al. [2005]).

Ahora bien, el éxito en el financiamiento de la operación de una empresa depende de que esta pueda diversificar sus fuentes de fondeo, mediante el equilibrio de deuda y capital (Solís & Muñoz, 2022), especialmente cuando los mercados financieros modernos ya no solo se limitan al contexto local. Para ello, herramientas como los ADR permiten dos cosas: i) que inversionistas en el mercado estadounidense financien empresas en otros mercados, bajo normas de protección de Estados Unidos, y ii) que empresas que no necesariamente operan en Estados Unidos tengan visibilidad y acceso al mercado accionario más grande del planeta.

Para el caso latinoamericano, los ADR tienen una ventaja adicional para las empresas, y es que ofrecen recursos en una moneda "más fuerte y estable" respecto a las monedas locales; esto les permite obtener dinero por canales alternos a los bancarios y así generar mayores eficiencias con respecto a la moneda local (Espinosa Osorio, 2011).

A pesar de estas ventajas, también se evidencian ciertas falencias o dificultades para su adopción. Por ejemplo, según Díaz (2018), los ADR tienden a ser creados por grandes empresas, debido a los altos costos administrativos y la gran cantidad de información financiera que deben proporcionar. Por su parte, Solís & Muñoz (2022) advierten que la ampliación hacia dichos mercados también incrementa el nivel de riesgo de una empresa, y el hecho de que se encuentren cotizando en moneda extranjera no es un motivo de respaldo para la compañía, principalmente, porque el tipo de riesgo que se presenta es el sistemático, es decir, que los precios de las acciones se ven perjudicados por factores externos a la misma, como lo puede ser la inflación o la depreciación de la tasa de cambio.

En este contexto, el presente artículo plantea como hipótesis que existe una relación de corto o largo plazo entre los precios de la acción en el mercado local y su contraparte del ADR, y dicha relación está dominada por este último al ser un mercado, en principio, más grande y líquido que el local. Se resalta que, según el conocimiento de los autores, en la literatura relacionada con el mercado colombiano no se encuentra un ejercicio similar al presentado en este trabajo.

Para desarrollar lo anterior, el documento realiza una revisión de la literatura, expone la metodología y, posteriormente, presenta los resultados y las conclusiones.

REVISIÓN DE LA LITERATURA

La revisión de la literatura inicia con Royston (1985), quien es uno de los primeros en detallar los ADR. Si bien dicho estudio tiene un enfoque legal y normativo, el análisis deja entrever que para emisores e inversionistas, la expectativa de beneficios debe ser muy atractiva, en la medida en que las condiciones para llevar con éxito un proceso de emisión de ADR debe cubrir y cumplir con requerimientos normativos, revelación de información, ajuste de estados financieros a normas contables estadounidenses, costos de transacción y comisiones, traducción de las comunicaciones oficiales de la empresa, entre otros. Tanto así que, para el autor, los ADR son mecanismos valiosos para liberar los mercados de capitales.

Pasando a estudios más enfocados en la relación entre los ADR y su correspondiente local, uno de los primeros análisis es el que proporcionan Fang & Loo (2002), quienes examinan 113 ADR mediante un modelo de tres factores, con el propósito de determinar si los factores del mercado estadounidense o los locales afectan la formación de precios de estos activos. Los autores agruparon los ADR en portafolios por países, y controlaron la estimación del modelo por sectores y submuestras. Los resultados permiten concluir que los retornos de los ADR son más sensibles a los factores locales, puntualmente la prima de riesgo local y devaluaciones y, por lo tanto, este comportamiento contribuye a la hipótesis de los mercados financieros, que sufren de segmentación y son una herramienta eficaz de diversificación del riesgo global para los inversionistas estadounidenses.

No obstante, al usar una metodología que permite estimar las relaciones de equilibrio de corto y largo plazo, como lo es el modelo de Vector de Corrección de Errores (VEC), Lim (2008) encuentra que el precio de las acciones locales es altamente sensible a las variaciones en el índice del mercado surcoreano y a los choques en el precio del ADR, para una muestra de 10 acciones locales que poseen un correspondiente ADR. Es decir, la dirección de la relación es en cierto punto contraria a la encontrada por Fang & Loo (2002), en el sentido de que es el ADR el que afecta al precio local. Patel (2015) obtuvo resultados similares para el mercado de la India en la medida que se estiman al menos una relación de cointegración y una relación de largo plazo, y se encuentra que para cinco compañías el precio del ADR causa el precio local, y para otras tres la relación de causalidad es bidireccional.

En esta misma línea de modelos VEC y de cointegración, Visalakshmi & Lakshmi (2016) realizan el análisis para los ADR, y sus subyacentes locales de los países que conforman el grupo denominado BRICS (Brasil, Rusia, India, China y Sudáfrica), en una configuración de portafolios. Las estimaciones reafirman la hipótesis de la existencia de una relación de largo plazo entre los precios de los ADR y las acciones locales, sin embargo, respecto a la dirección de la causalidad, se presentan resultados mixtos para cada uno de los países. Los autores reportan que una posible causa de la disparidad puede provenir de factores desestabilizadores globales, en la medida que la muestra incluye la gran recesión de 2008 y la posterior crisis de deuda pública en Europa.

Respecto a los estudios más recientes, se pueden destacar Li & Zhang (2021), quienes utilizan el sistema de listamiento cruzado entre China y Hong Kong, acciones clase A y clase H, para mostrar cómo el riesgo específico y el sentimiento de los inversionistas impacta en la formación de precios de ambas especies. Mediante la aplicación de métodos de componentes principales, los autores encuentran que en la medida en que la diferencia entre el nivel del índice de sentimiento aumenta, el diferencial en las primas de riesgo de ambas especies también se incrementa. A su vez, señalan que la "institucionalidad" (regulación, filosofías de inversión, infraestructura, entre otras) de ambos mercados difiere lo suficiente como para evitar que la brecha entre los precios de especies distintas de una misma empresa no se acorte.

Lo anterior implica que hacer "disponible" una especie en otro mercado no es suficiente para sacar provecho de los procesos de doble listamiento, sino que se debe también converger en materia institucional.

Samet et al. (2023) analizan las preferencias por ADR de los inversionistas institucionales para 423 ADR, incluidos los de Colombia, para las fechas entre 2000-2017, mediante modelos de mínimos cuadrados agrupados. Uno de los resultados más interesantes que resaltan los autores es el hecho de que los inversionistas institucionales prefieren: i) invertir en single ADR, es decir, ADR que no tienen una contrapartida en el mercado original; ii) invertir en ADR que ya tengan un porcentaje de inversionistas institucionales. Los resultados parecen indicar que los inversionistas institucionales prefieren invertir en especies que den señales de bajas posibilidades de arbitraje, al estar listadas en un solo mercado, y con gobiernos corporativos robustos dado los altos estándares que deben cumplir los emisores para recibir a estos inversionistas.

Por último, Keshari & Gautam (2024) argumentan que el listamiento cruzado de especies es uno de los factores más cruciales para la integración de los mercados accionarios y, sobre esta base, investigan la relación entre los movimientos del mercado accionario de la India en contraste con los otros mercados. Usando modelos VAR y VECM, se presenta evidencia a favor de una relación de largo plazo entre el mercado de Estados Unidos y el de la India, y una relación de causalidad bidireccional para el periodo 2011-2021. Dentro de las implicaciones importantes, los autores argumentan que esto favorece la diversificación de inversionistas en Estados Unidos al incrementar la demanda de activos disponibles para invertir bajo mecanismos de ADR y en otros mercados desarrollados bajo los GDR.

En el caso de la región, Acevedo et al. (2011) analizan los ADR de emisores de Colombia, México, Brasil y Chile entre 2005 y 2019, desde una perspectiva de arbitraje. Los autores argumentan que al ser los ADR activos que representan acciones locales de un emisor, por la hipótesis de mercados eficientes y la ley de precio único, las oportunidades de arbitraje no deberían ocurrir. No obstante, mediante modelos de regresión lineal múltiple, se muestra que es posible realizar operaciones de arbitraje, al menos al usar frecuencia diaria de precios, gracias a movimientos de tasas de cambio, diferencias en la liquidez de los activos y costos de transacción. Las implicaciones de estos resultados llevan a considerar que es posible observar desviaciones en el corto plazo entre los precios de estos activos.

Respecto a estudios enfocados solo en ADR de emisores colombianos, la literatura es bastante escasa, por no decir inexistente. En la búsqueda realizada no se encuentran artículos con el suficiente contenido o rigor metodológico para ser considerados parte del cuerpo de literatura. Lo más cercano que se evidencia son trabajos de grado que, a juicio de los autores, contribuyen al conocimiento del problema de estudio y se atienen a prácticas metodológicas comúnmente aceptadas.

El primero de estos trabajos es realizado por Gómez & Henao (2013), quienes estudian la relación entre el precio de las acciones preferenciales y ordinarias de emisores colombianos. Si bien el objetivo del trabajo no es el mismo de esta investigación, se resalta que los autores realizaron entrevistas con profesionales de mercado y funcionarios de los emisores. Uno de los entrevistados fue Alejandro Mejía, que se desempeñaba como gerente de relación con inversionistas para Bancolombia, a quien le preguntaron por la relación entre el precio del ADR y el precio de las acciones en el mercado local. Para el funcionario no es claro cuál precio se mueve primero, en su visión, para inversionistas pequeños no tiene sentido arbitrar los dos activos en la medida que la conversión de ADR a acciones locales solo se permite a partir de un millón de dólares en adelante. Las oportunidades, de presentarse, estarían dadas para los fondos grandes que están continuamente monitoreando el mercado y administran considerables cantidades de dinero.

El segundo trabajo es de Ospina (2013), el cual se enfoca en una simulación de emisión de ADR para el Banco Davivienda. Para tal fin, el autor hace un recuento de la experiencia de Bancolombia en 1995, resaltando de ella la motivación de los accionistas del Banco Industrial Colombiano (antes de la fusión con el Banco de Colombia) de fortalecer el capital de la entidad, reducir costos en la captación de recursos (dado que en ese momento era más barato emitir ADR que acciones locales), y posicionar al banco en los mercados internacionales. El autor también señala que el éxito de los ADR de Bancolombia se evidencia en la realización de una segunda emisión de estos en el año 2000.

Debido a lo anteriormente planteado, se muestra un vacío en la literatura colombiana que haga énfasis en el análisis de los ADR desde el punto de vista de la naturaleza de la relación de su precio con su contraparte local. Además, la evidencia internacional y regional pone de presente que existe un efecto predominante de causalidad entre los movimientos del precio del ADR y los precios de las acciones locales. Lo anterior motiva el objetivo del presente artículo.

METODOLOGÍA

Bases de datos

A la fecha, los emisores locales de acciones listadas en la BVC y que participan en ADR son: Ecopetrol, Bancolombia, Grupo Aval, Grupo Argos, Nutresa y Suramericana. Para estas especies, se crea una base de datos de frecuencia mensual a partir de los precios de final de mes extraídos de las páginas oficiales de BVC y la Bolsa de Nueva York (NYSE). A su vez, se recolecta la información de la tasa representativa de mercado peso dólar (TRM), la tasa de interés del Banco de la República de Colombia y la tasa de interés de la Reserva Federal de Estados Unidos, para usarlas como variables exógenas en el modelo econométrico. La Tabla 1 resume la base.

Tabla 1. Bases de datos

 

Variable

Fecha
inicial

Fecha
final

Observaciones

Ecopetrol

adr / local

2009/01/30

2023/12/29

180

Bancolombia

adr / local

2003/01/31

2023/12/29

252

Grupo Aval

adr / local

2015/01/30

2023/12/29

108

Grupo Argos

adr / local

2010/01/29

2023/12/29

168

Nutresa

adr / local

2015/01/30

2021/12/30

84

Suramericana

adr / local

2010/01/29

2021/12/30

144

Tasa de cambio peso/dólar

trm

2003/01/31

2023/12/29

252

Tasa de interés Colombia

rl

2003/01/31

2023/12/29

252

Tasa de interés EE. UU.

re

2003/01/31

2023/12/29

252

Fuente: elaboración propia a partir de la información reportada en las páginas oficiales de BVC, NYSE, Banco de la República y FED.

Modelo econométrico

El modelo escogido para estimar la relación entre el precio del ADR y el precio correspondiente de la acción local es el de Vectores Autorregresivos (VAR). Su elección obedece a que son los modelos más apropiados para describir la estructura de un sistema de variables de series de tiempo, y cuantificar el efecto dinámico de su relación sin imponer restricciones a priori (Lutkepohl, 2005). Además, el uso de modelos econométricos permite analizar las estructuras de los problemas económicos que implican causalidad (Athey e Imbens, 2019), en contraposición a técnicas como el machine learning enfocada en la predicción y en la habilidad de implementar modelos con un gran conjunto de información (Mullainathan & Spiess, 2017).

La estimación de los modelos multivariados sigue las metodologías propuestas por Engle & Granger (1987) y Johansen (1991) que sugieren, previo a la estimación del modelo dinámico multivariado, comprobar si el conjunto de variables está cointegrado, lo que implica que el sistema presenta relaciones de equilibrio de largo plazo. De acuerdo con Engle & Granger (1987), el concepto de cointegración se basa en la posibilidad de tener series no estacionarias, por ejemplo, dos variables integradas de orden 1 ~ I(1), cuya combinación lineal es estacionaria o integrada de orden 0 ~ I(0).

De manera particular, la estimación de un modelo VAR-X, que en este caso utiliza el precio del ADR y el precio de la acción local como variables endógenas y un vector de variables exógenas, puede ser descrito como:

Donde: yt es un vector de (2 x 1) de las variables endógenas, c es un vector de (2 x 1) de las constantes, p. es una matriz de (2 x 2) de los estimadores para el rezago i, zt es un vector de (k x 1) que incluye variables exógenas y dummies con y, como el vector de sus estimadores; siendo εt un vector de (2 x 1) que representa el término de error. Las variables exógenas consideradas en la estimación del modelo son la TRM y la diferencia de tasas de interés (Spread). Las dummies recogen comportamientos inusuales de las variables ocasionados por choques externos, como la caída en los precios evidenciada en 2020 como consecuencia de la pandemia de covid-19.

Por su parte, al modelo que incluye relaciones de cointegración se le conoce como vector de corrección de errores (VEC). Este tipo de modelos incorpora el comportamiento de largo plazo de las variables endógenas, que converge a su relación de cointegración, permitiendo ajustes dinámicos de corto plazo descritos mediante la especificación de un modelo VAR. Una versión simple de un modelo VEC-X es:

Donde: yt - 1 es un vector de variables observables I(1), Π es una matriz de rango r, δi es una matriz de coeficientes que describe la dinámica de corto plazo, nuevamente zt es un vector que incluye variables exógenas y dummies, y εt es el término de error ruido blanco (Lutkepohl, 2005).

A partir de la ecuación [2], para determinar si los precios están cointegrados, se implementó la prueba propuesta por Johansen (1991), que busca definir el rango de cointegración en vectores autorregresivos gaussianos, y asume como hipótesis nula que hay r vectores de cointegración frente a la alternativa de que hay más de r. La prueba es realizada de manera secuencial, comenzando con la hipótesis nula de la no existencia de vectores de cointegración (Ho: r = 0) que, en caso de ser rechazada, requiere continuar con la hipótesis de una relación de cointegración (Ho: r = 1), y así sucesivamente, hasta completar el máximo rango (k) de la matriz n. Considerando que el sistema está compuesto por dos variables endógenas: el precio de la acción local y el precio del ADR, el rango máximo de la matriz es 2. De esta manera, la prueba de Johansen realizada es la siguiente:

Si el resultado de la prueba es que la matriz n no es de rango completo, entonces n es definida como el producto de dos matrices, Π = αβ’, donde β contiene los vectores de cointegración y α es una matriz de parámetros ajustados (Johansen, 1991). En este caso, se estimará un modelo VEC. En contraste, si las variables no están cointegradas, el concepto de equilibrio de largo plazo no tiene implicaciones prácticas (Engel & Granger, 1987), de tal manera, que se procede con la estimación de un modelo de vector autorregresivo a partir de un sistema de variables estacionarias ~ I(0).

Para establecer la estacionariedad de las series se hace uso de la prueba Dickey-Fuller Aumentada (Said & Dickey, 1984), cuya hipótesis nula asume que el proceso presenta raíz unitaria, y, por lo tanto, no sería estacionario. Una vez comprobada la estacionariedad de las variables, o de su primera diferencia dada la naturaleza financiera de las series, se procede a aplicar la prueba de causalidad de Granger (1969).

El concepto de causalidad se basa en que el comportamiento pasado de una variable xt que afecta yt , debería mejorar la predicción del comportamiento de esa variable y ; de esta manera, si esta información no se encuentra contenida en ninguna otra serie utilizada en la predicción, entonces se dice que xt causa yt (Granger, 1969). Formalmente:

A partir de la especificación anterior, donde xt,yt ~ I(0) y εt, μt son series ruido blanco no correlacionadas, la definición de causalidad implica que yt causa xt si existe algún bi.≠ 0. Similarmente, xt causa yt si existe algún ci≠ 0. Si ambas situaciones ocurren, se dice que se presenta causalidad bidireccional (Granger, 1969).

A continuación, siguiendo lo señalado por Lutkepohl (2005), el orden de los modelos VAR es elegido mediante criterios de información que minimizan el error cuadrado promedio del pronóstico, considerando que los modelos son construidos con el propósito de predecir el comportamiento futuro del precio de la acción local y el precio de su ADR, a partir de su interrelación dinámica. Además, su uso es preferible para la elección del modelo más adecuado, teniendo en cuenta que una prueba de razón de verosimilitud solo es aplicable cuando un modelo es una versión restringida de otro, y puede no ser muy útil en muestras pequeñas (Enders, 2010). Los criterios de información más comúnmente utilizados, que fueron implementados en la selección del número de rezagos óptimos de los modelos de vectores autorregresivos, son: Akaike (AIC), Hannan-Quinn (HQ), Schwarz Bayesian (SBIC) y Predicción Final del Error (FPE). Si bien el criterio Bayesiano selecciona un modelo más parsimonioso, estudios de Monte Carlo han mostrado que el Akaike puede comportarse mejor en muestras pequeñas (Enders, 2010).

Adicionalmente, para garantizar que la especificación de la ecuación [1] es adecuada, se efectúa el proceso usual de comprobación de significancia estadística de los coeficientes, así como de validación de los supuestos de ruido blanco multivariado. La validación de supuestos se realiza mediante la implementación de una versión multivariada de la prueba de normalidad propuesta por Jarque & Bera (1987) para los residuales del modelo VAR(p); la prueba de autocorrelación multivariada, comúnmente llamada test de Portmanteau (Breusch, 1978), y una prueba de efectos ARCH multivariado, que contrasta la posible presencia de heterocedasticidad condicionada en los residuales del modelo (Doornik & Hendry, 1997). Seguidamente, para definir si los procesos VAR estimados son estables, se incluyen las raíces del polinomio característico (Lutkepohl, 2005) y una prueba de estabilidad tipo Cusum para cada una de las ecuaciones estimadas, considerando que es una herramienta útil para detectar especificaciones erróneas de modelos ocasionadas por cambios estructurales (Enders, 2010). Por último, se estiman las funciones impulso-respuesta para mostrar la reacción del precio de acción local ante choques en el precio del ADR y viceversa.

El proceso descrito se realizó en el software abierto R (R Core Team, 2003) y se utilizaron las siguientes librerías: aTSA para la prueba Dickey-Fuller aumentada (Qiu, 2015); Imtest para la prueba de Granger (Zeileis & Hothorn, 2002); vars para la selección del orden del VAR, estimación, validación, estabilidad y funciones impulso-respuesta (Pfaff, 2008); urca para la prueba de cointegración de Johansen y la estimación de modelos VEC (Pfaff et al., 2022).

RESULTADOS

Hechos estilizados

Antes de mostrar los resultados de la estimación, es importante describir el comportamiento histórico de las variables, con el fin de contextualizar el estudio y detectar comportamientos relevantes para la modelación (datos atípicos, tendencias, cambios estructurales, entre otros). La Figura 1 muestra lo pertinente para los emisores descritos en la Tabla 1.

Iniciando por Ecopetrol, se observa un movimiento al alza para los años 2009 a 2015 que se pudo generar, en primer lugar, por las elecciones presidenciales de Colombia en junio de 2010, que dieron continuidad a las políticas del gobierno anterior, Uribe y Santos (Acosta, 2017). Segundo, entre 2010 y 2012, las reservas de petróleo de Ecopetrol se incrementaron 22% y la producción 45% (Giraldo & Téllez, 2013).

Para 2014, comienza la crisis del petróleo reflejada por un desplome de precios de un 70%, causado por el incremento de la producción por parte de Estados Unidos (EE. UU.), cambios en la Organización de Países Exportadores de Petróleo (OPEP), y una desaceleración económica que llegó en 2016 a los países exportadores de petróleo (Stocker et al., 2018). Finalmente, para el año 2020, se observan comportamientos relacionados con la pandemia, debido a la cual Ecopetrol no generó utilidades como muchas otras empresas en ese momento (Bohórquez, 2020). A pesar de ello, Ecopetrol se recuperó. Sin embargo, en el 2022 se vio afectado por las elecciones presidenciales en las que ganó el actual líder de Colombia, Gustavo Petro (Altamar, 2023).

Figura 1. Comparativo entre el precio del ADR y el precio de la acción local

Fuente: elaboración propia, con información de las páginas oficiales de BVC, NSYE y de los emisores.


En el caso de Bancolombia, al observar toda la muestra se advierte un comportamiento con tendencia al alza. Dentro de los momentos más notorios se encuentran: la caída del 2008 debido a la crisis financiera en Estados Unidos y la posterior recuperación en 2010. Luego, en 2013 se observa una caída explicada por la disminución de capital ocasionada por la adquisición de Banistmo en Panamá (Betancourt & Mejía, 2016), que se recupera a fines de 2019 gracias a la emisión de bonos subordinados mediante oferta pública en el exterior (Bancolombia, 2020). Finalmente, para 2020, los precios se ven afectados por la pandemia, para recuperarse en el año 2022 tras obtener resultados financieros positivos y anunciar el pago de dividendos (Cajamarca, 2022).

Continuando con AVAL, se observa una tendencia a la baja explicada mayormente por el involucramiento de Corficolombiana, y otras entidades asociadas al Grupo, en el escándalo de Odebrecht, relacionado con la adjudicación de proyectos de infraestructura (El Economista, 2023). Para Argos, se observa una tendencia predominantemente a la baja, cuya explicación se puede relacionar con la desaceleración económica producto de la pandemia, la desaceleración de la adquisición de viviendas y la disminución en el consumo de materias primas para la construcción (Cajamarca, 2023).

Por su parte, en Nutresa se observa un comportamiento en forma de escalera, en especial para el precio del ADR, lo cual indica una baja liquidez y poca demanda por el activo. No obstante, en el caso del precio de la acción local, se presenta un crecimiento para 2021 como consecuencia de la buena gestión relacionada con la empresa, con un enfoque de productividad y eficiencia (El Tiempo, 2022). Para finalizar, en el Grupo Sura se destaca como hecho relevante la estrategia de crecimiento basada en adquisiciones de compañías de seguros en América Latina entre 2014 y 2015 (Grupo Sura, 2014). Para el año 2021, la pandemia continuó afectando los mercados, con olas de infecciones y restricciones que tuvieron un impacto en la economía global y, por lo tanto, en las acciones del Grupo Sura, que presentó un cambio positivo.

Prueba de estacionariedad

Antes de proceder con la especificación y estimación de los modelos, se realiza la comprobación de la estacionariedad de las series. La Tabla 2 registra los resultados de la prueba ADF para el logaritmo de los precios, que permite concluir que estas son y su primera diferencia I(0), para el nivel de significancia escogido. Las especies de Nutresa y Grupo Sura se excluyen de aquí en adelante, en la medida que, dadas sus características de baja liquidez y comportamientos propios de las series, no se logró estimar un modelo adecuado.

Tabla 2. Resultados Prueba ADF

 

Nivel

Primera
diferencia

NC – NT

C – NT

C-T

NC - NT

C - NT

C-T

Ecopetrol

           

Local

0,613

0,484

0,647

0,01*

0,01

0,01

ADR

0,461

0,637

0,588

0,01*

0,01

0,01

Bancolombia

     

0,01*

   

Local

0,97

0,0162

0,2303

0,01*

0,01

0,01

ADR

0,787

0,0197

0,316

0,01*

0,01

0,01

Argos

     

0,01*

   

Local

0,649

0,325

0,419

0,01*

0,01

0,01

ADR

0,286

0,565

0,0202

0,01*

0,01

0,01

Aval

     

0,01*

   

Local

0,251

0,915

0,75

0,01*

0,01

0,01

ADR

0,161

0,823

0,546

0,01*

0,01

0,01

Nota. NC: Sin constante; NT: Sin tendencia. C: Con constante; T: Con Tendencia. * Se rechaza la hipótesis nula con un nivel de significancia del 5%.
Fuente: elaboración propia a partir de los cálculos realizados en el software R-Studio con el paquete a TSA.


Selección del orden del modelo

El número de rezagos óptimo para la estimación de los modelos multivariados de series de tiempo es definido mediante criterios de información. La Tabla 3 presenta el orden del modelo VAR sugerido para los cuatro criterios de información utilizados: Akaike (AIC), Hannan-Quinn (HQ), Schwarz (SC) y Predicción Final del Error (FPE). El número máximo de rezagos utilizados en el cálculo de los criterios de información es 12, dada la periodicidad mensual de las series. El anexo 1 muestra los cálculos realizados.

Tabla 3. Orden de los modelos VAR

Modelos

AIC(n)

HQ(n)

SC(n)

FPE(n)

Ecopetrol

1

1

1

1

Bancolombia

1

1

1

1

Argos

2

2

1

2

Aval

2

2

2

2

Fuente: elaboración propia a partir de los cálculos realizados en el software R-Studio con el paquete vars.


Según los criterios de información utilizados, el número óptimo de rezagos sugerido para la estimación de los modelos de vectores autorregresivos VAR, para Argos y Aval es 2, mientras que en el caso de Ecopetrol y Bancolombia el orden indicado es 1.

Prueba de cointegración de Johansen

Con el propósito de determinar si existe una relación de largo plazo entre el precio de la acción local y el precio del ADR, para cada una de las acciones de las empresas colombianas analizadas se aplicó la prueba de cointegración propuesta por Johansen (1991), que utiliza el método del máximo valor propio. La Tabla 4 presenta los resultados obtenidos.

Tabla 4. Resultados prueba de cointegración de Johansen

No. de vectores
de cointegración

Estadístico
(máximo valor propio)

Valor
crítico

Ecopetrol

Bancolombia

Argos

Aval

5%

1%

r = 0

4,03

17,74*

6,02

10,66

15,67

20,20

r = 1

0,94

4,72

1,40

3,98

9,24

12,97

* La hipótesis nula es rechazada con un nivel de significancia del 5%.
Fuente: elaboración propia a partir de los cálculos realizados en el software R-Studio con el paquete urca.


Como resultado de la aplicación de la prueba, se observa que no se rechaza la hipótesis nula, que propone la no existencia de vectores de cointegración (Ho: r = 0) con un nivel de significancia del 5% en los casos de Ecopetrol (4,03 < 15,67), Argos (6,02 < 15,67) y AVAL (10,66 < 15,67). Por su parte, en el caso de Bancolombia, utilizando el mismo nivel de significancia (a = 5%), los resultados de la prueba señalan la presencia de un vector de cointegración, al rechazar la hipótesis nula de no cointegración (17,74 > 15,67). En resumen, los resultados de la prueba de cointegración sugieren que no existen relaciones de largo plazo entre el precio de la acción local y el precio del ADR en Ecopetrol, Argos y AVAL; mientras que existe una relación de largo plazo para los precios de la acción de Bancolombia.

Prueba de causalidad de Granger

A partir de los resultados obtenidos con la prueba de Johansen, en tres de los cuatro casos de estudio debe continuarse con la estimación de modelos de vectores autorregresivos VAR. En este escenario, se requiere el concepto de causalidad propuesto por Granger, que plantea que el comportamiento pasado de una variable xt que afecta yt debería mejorar la predicción del comportamiento de esa variableyt. La Tabla 5 presenta los resultados de la prueba de causalidad de Granger (1969), implementada para uno y dos rezagos sobre las primeras diferencias del logaritmo de los precios, cuyas series son I(0).

Tabla 5. Prueba de causalidad de Granger

Nota. La tabla presenta el estadístico calculado para uno y dos rezagos. Entre paréntesis se muestra el p-valor. *, **, *** denotan que la hipótesis nula es rechazada con niveles de significancia de 0,05, 0,01 y 0,001, respectivamente.
Fuente: elaboración propia a partir de los cálculos realizados en el software R-Studio con el paquete vars.

De los resultados presentados en la Tabla 5 es posible afirmar, con un nivel de significancia del 5%, que existe causalidad bidireccional entre el precio de la acción local y el precio del ADR (en logaritmos) para Argos en todos los rezagos; mientras que para las demás especies la relación se observa en un solo sentido y en diferentes rezagos. En el caso de Bancolombia, la relación de causalidad se evidencia en el sentido de ADR causa local (0,0031 < 0,05, 0,0013 < 0,05 y 0,0034 < 0,05). En cuanto a AVAL, la causalidad se presenta únicamente del precio local hacia el ADR con dos y tres rezagos (0,0185 < 0,05 y 0,0268 < 0,05). Por último, los resultados para Ecopetrol señalan que la causalidad no se presenta en ninguna de las direcciones para los dos primeros rezagos, al no rechazar la hipótesis nula en las pruebas aplicadas, pero con presencia de causalidad en el sentido de ADR causa local en la prueba aplicada para el tercer rezago.

Estimación de los modelos VAR-X y VEC-X

Una vez completada la fase de identificación, se continúa con la de estimación. Según lo descrito en la metodología, los modelos estimados incluyen los precios locales de las acciones y los precios del ADR, como variables endógenas para cada caso de estudio. Asimismo, se hicieron diversas estimaciones que incorporan combinaciones de modelos donde se puede tener la tasa representativa del mercado (TRM), la diferencia de la tasa de interés de la Reserva Federal de Estados Unidos (tomada como re) y la tasa de interés del Banco de la República de Colombia (tomada como rl), o las dos como variables exógenas, así como un conjunto de variables dicotómicas que recogen cambios generados como consecuencia de choques externos.

Habiendo planteado lo anterior, la Tabla 6 presenta los resultados para los mejores modelos obtenidos de acuerdo con las diferentes estimaciones realizadas, considerando tanto el número de rezagos identificado mediante los criterios de información descritos previamente, como la significancia individual de los coeficientes y la validación de los supuestos ruido blanco multivariado.

Para el caso de Ecopetrol, como se observa en la ecuación [5] ambos precios se ven afectados por la volatilidad del tipo de cambio de manera negativa. Además, el precio de la acción local responde de manera positiva a cambios en el precio del ADR un periodo anterior, lo que evidencia la existencia de una relación dinámica de corto plazo entre ambos precios. De manera puntual, un incremento de 1% en el retorno del precio del ADR un periodo anterior (t-1) genera un incremento de 0,277% en el retorno del precio de la acción local en el momento t.

Continuando con el análisis, en el caso de Bancolombia, como se muestra en la ecuación [6a] que presenta la relación de cointegración normalizada, existe una relación de largo plazo entre el precio local de la acción y su ADR. Adicionalmente, la representación del modelo VAR(1) denotada en la ecuación [6b] sugiere, al igual que en el modelo estimado para Ecopetrol, una relación unidireccional de corto plazo del precio del ADR hacia el precio local, donde un aumento de 1% en el retorno del precio del ADR en t-1 afecta en 0,277% el retorno de la acción local en t. Ambos resultados están en línea con los hallazgos de Lim (2008) y Patel (2015), en cuanto al sentido de la relación de precios, donde el precio del ADR afecta el precio local.

Tabla 6. Resultados de las estimaciones

Nota. Los errores estándar se encuentran entre paréntesis.
*, **, *** denotan que la hipótesis nula que asume que el coeficiente es cero es rechazada con niveles de significancia de 0,05, 0,01 y 0,001, respectivamente.
En las ecuaciones [6b] y [7] fueron omitidas las variables dummies incluidas en los modelos para hacer énfasis en la relación entre variables.
Fuente: elaboración propia a partir de los cálculos realizados en el software R-Studio con los paquetes vars y urca.


Por su parte, en el caso de Argos, la ecuación [7] muestra relaciones dinámicas de corto plazo entre ambos periodos para uno y dos rezagos. Específicamente, un aumento de 1% en el retorno del precio de la acción local un periodo anterior genera un incremento de 0,516% en el retorno del precio de su ADR en el momento t, y si el incremento se genera en el momento t-2, la variación también es positiva con un valor de 0,284%. En el sentido contrario, un aumento de 1% en el retorno del precio del ADR en t-1, reduce en 0,103% el retorno de la acción local en t, y si el cambio se da en el segundo periodo, se genera un incremento de 0,005%. Adicionalmente, ambos precios reaccionan de manera negativa ante la volatilidad de la tasa de cambio. Todo lo anterior sugiere que el precio del ADR se ve afectado en una mayor medida frente a lo que ocurre en el mercado colombiano. Estos resultados aportan evidencia en la misma línea de los hallazgos de Visalakshmi & Lakshmi (2016), que apuntan a que la transmisión de efectos entre los precios se presenta en ambos sentidos.

Por último, para la acción de AVAL, la ecuación [8] muestra una afectación del retorno del precio del ADR frente a cambios en el retorno del precio de la acción local, para dos periodos anteriores. Puntualmente, un aumento de 1% en el retorno del precio de la acción local en el periodo t-2 genera una disminución de 0,623% en el retorno del precio de su ADR en el momento t. En este caso, el sentido de la relación entre ambos precios se da de acuerdo con lo sugerido por Fang & Loo (2002), al encontrar evidencia para señalar que los precios de los ADR se ven influenciados por factores locales.

Validación de los supuestos

Para garantizar que las especificaciones de los modelos estimados que describen las relaciones entre los retornos de precios son adecuadas, se aplicaron pruebas que buscan comprobar el cumplimiento de los supuestos de normalidad, no autocorrelación y homocedasticidad, en su versión multivariada, en los residuales de los modelos VAR. La Tabla 7 reporta los resultados de las pruebas chi cuadrado implementadas.

En primer lugar, la versión multivariada de la prueba de normalidad propuesta por Jarque & Bera (1987) para los residuales del modelo VAR(p) indica que no se rechaza la hipótesis nula de normalidad multivariada para todos los modelos estimados, con un nivel de significancia del 5% (los p-valores de todos los modelos superan el 0,05 utilizado). En segundo lugar, la prueba de autocorrelación multivariada, comúnmente llamada test de Portmanteau (Breusch, 1978), muestra también que no se rechaza la hipótesis nula que asume que no se presenta autocorrelación entre los residuales, con un nivel de significancia del 5%. Por último, los resultados obtenidos para la prueba de efectos ARCH multivariado propuesta por Doornik & Hendry (1997), que contrasta la posible presencia de heterocedasticidad condicionada en los residuales del modelo, muestran que por tanto, hay evidencia para afirmar, con un nivel de significancia del 5%, que los residuales presentan varianza constante. De esta manera, se valida el cumplimiento de las condiciones ruido blanco multivariado para todos los modelos estimados.

Tabla 7. Validación de los supuestos

Acción / Supuesto

Normalidad

No autocorrelación

Homocedasticidad

Ecopetrol

X2 = 2,3793
(0,6664)

X2 = 54,739
(0,6678)

X2 = 27,277
(0,0739)

Bancolombia

X2 = 7,0194
(0,1349)

X2 = 69,091
(0,1511)

X2 = 13,492
(0,7615)

Grupo Argos

X2 = 8,8083
(0,0661)

X2 = 14,752
(0,0642)

X2 = 17,377
(0,4973)

Grupo Aval

X2 = 4,803
(0,3081)

X2 = 45,845
(0,8316)

X2 = 19,526
(0,3602)

Nota. P-valores de las pruebas son reportados entre paréntesis. En la prueba de normalidad se reporta el estadístico Jarque-Bera multivariado. La prueba de no autocorrelación reporta el estadístico LM multivariado. La prueba de homocedasticidad reporta el estadístico ARCH.
Fuente: elaboración propia a partir de los cálculos realizados en el software R-Studio con el paquete vars.


Condición de estabilidad

Siguiendo a Lutkepohl (2005), los procesos VAR estimados cumplen con la condición de estabilidad si no tienen raíces en o sobre el círculo unitario complejo, lo que es equivalente a que tienen módulos menores a uno. Está condición se cumple en todos los casos. Para Ecopetrol, los valores son 0,1246 y 0,0638, para Argos son 0,4397, 0,4200, 0,1974 y 0,1974; finalmente, para Aval son 0,4335, 0,4335, 0,4138 y 0,4138.

El anexo 3 presenta los gráficos realizados a partir del cálculo de la suma de los residuales cuadrados - Cusum. Como se observa, la hipótesis nula de no cambio estructural no puede ser rechazada, por cuanto las fluctuaciones empíricas no sobrepasan el nivel de confianza.

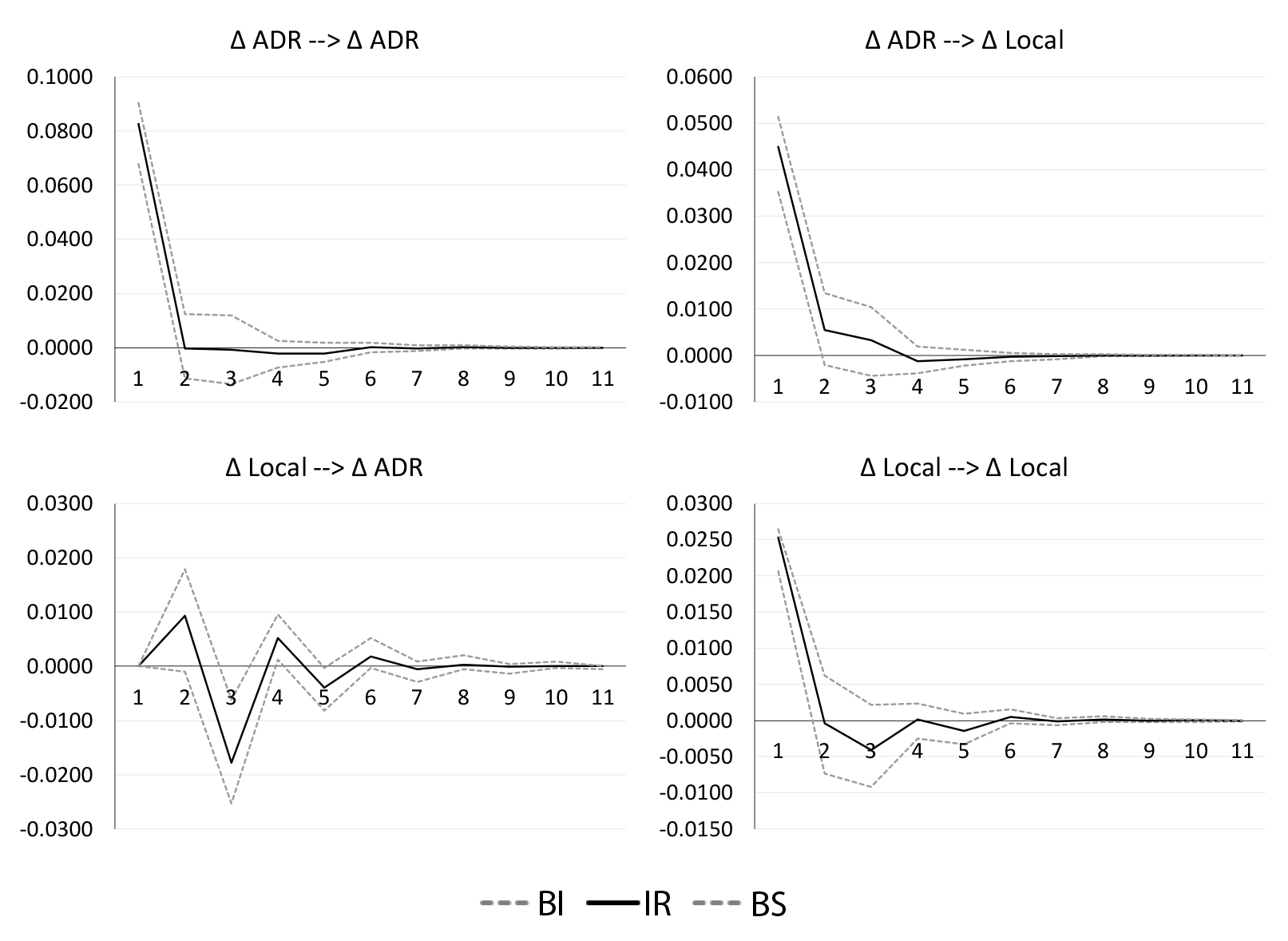
IMPULSO-RESPUESTA

Para finalizar el reporte de resultados, a continuación se detalla lo encontrado me­diante la aplicación de las funciones impulso-respuesta (Figura 2).

Figura 2. Impulso-respuesta Ecopetrol

Nota. Los intervalos de confianza son calculados mediante boostraping, con un nivel de confianza del 95%.
BI representa la banda inferior, IR la respuesta y BS la banda superior.
Fuente: elaboración propia con base en los resultados econométricos.


En términos de la respuesta de una variable endógena frente a cambios en la otra, en la Figura 2 se observa que para Ecopetrol el mercado de Estados Unidos "lidera" el comportamiento del activo. En el panel superior derecho se evidencia que, ante un choque en el precio del ADR, el precio de la acción local reacciona de forma positiva, aunque el efecto se disipa rápidamente en los siguientes dos meses. Lo anterior puede estar provocado por la posición de Ecopetrol como la empresa más importante de Colombia, lo que ocasiona un cubrimiento especial por parte de la prensa especializada internacional y aumenta la notoriedad del activo para inversionistas internacionales que ven en el ADR un vehículo más transparente y ágil de inversión.

Figura 3. Impulso-respuesta Bancolombia

Nota. Los intervalos de confianza son calculados mediante boostraping, con un nivel de confianza del 95%.
BI representa la banda inferior, IR la respuesta y BS la banda superior.
Fuente: elaboración propia con base en los resultados econométricos.


En el caso de Bancolombia, la Figura 3 confirma lo encontrado en la prueba de causalidad de Granger, es decir, la causalidad bidireccional. La función de impulso-respuesta revela que un incremento en el precio del ADR incrementa el precio local con una intensidad decreciente a partir del segundo mes al siguiente mes, mientras que un incremento en el precio local lleva a un decrecimiento en el precio del ADR, aunque el intervalo de confianza está muy cerca de un efecto nulo. Este resultado está en línea con lo expuesto por Gómez & Henao (2013) en el sentido de que el funcionario de Bancolombia menciona que no hay claridad en la relación o cuál activo se mueve primero.

Figura 4. Impulso-respuesta Argos

Nota. Los intervalos de confianza son calculados mediante boostraping, con un nivel de confianza del 95%.
BI representa la banda inferior, IR la respuesta y BS la banda superior.
Fuente: elaboración propia con base en los resultados econométricos.


De nuevo, las funciones impulso-respuesta reflejan lo reportado y analizado en las tablas 5 y 6. Puntualmente, para Argos se observa en el panel inferior izquierdo de la Figura 4 un efecto contrario a Ecopetrol y a Bancolombia, aquí es el mercado local el que impacta en mayor magnitud al ADR. Un choque en el precio del ADR impacta el precio de la acción local el primer mes, sin embargo, en el segundo tiene un efecto simétrico con sentido contrario que lleva a contrarrestar el incremento inicial para luego diluir su impacto en la trayectoria de activo al cabo de cuatro meses. A juicio de los autores, esta particularidad de Argos puede deberse a la menor "popularidad" de la empresa, donde los inversionistas internacionales no hacen revisiones tan periódicas de esta posición, o al menos no tan frecuentes como las de los inversionistas en el mercado local.

Figura 5. Impulso-respuesta AVAL

Nota. Los intervalos de confianza son calculados mediante boostraping, con un nivel de confianza del 95%.
BI representa la banda inferior, IR la respuesta y BS la banda superior.
Fuente: elaboración propia con base en los resultados econométricos.

Finalmente, para el caso de AVAL se regresa al hecho de que los impactos del ADR sobre la especie local tienen una magnitud mayor que la dinámica contraria, es decir, los movimientos de los inversionistas en Estados Unidos lideran las dinámicas locales. Uno de los motivos de este hecho puede radicar en la investigación a la que estaba sujeto el conglomerado por autoridades de Estados Unidos y Colombia respecto a escándalos de corrupción en obras de infraestructura.

DISCUSIÓN

Los resultados del estudio comprueban que los precios de los ADR guardan relación con los precios de las acciones locales, como se espera a partir de lo planteado por la hipótesis de mercados eficientes y la ley del precio único. Sin embargo, en línea con lo encontrado por Acevedo et al. (2011), en la medida que las relaciones entre los precios son descritas a partir de dinámicas de corto plazo, es posible realizar operaciones de arbitraje como resultado de movimientos en la tasa de cambio y choques externos que afectan el comportamiento de los precios.

Es de resaltar que las relaciones que se encuentran a partir de la aplicación de la prueba de cointegración de Johansen, y que dan pie a la estimación de los modelos, sugieren dinámicas de corto plazo para el caso de Ecopetrol, Aval y Argos; mientras que, en el caso de Bancolombia, se evidencia la existencia de una relación de equilibrio de largo plazo. A criterio de los autores, es posible que esto se deba a que Bancolombia es la acción que más tiempo lleva en el mercado internacional (Bancolombia, 2020), entre las cuatro analizadas, y ha logrado consolidar dinámicas propias de un mercado financiero más estable. Añádase a esto, la influencia de la volatilidad de la tasa de cambio en las dinámicas de los precios locales y los ADR de Ecopetrol y Argos, que puede explicarse por factores de origen externo, causados por cambios en la tasa de interés de la FED, y por factores internos, donde sobresalen elementos de la política económica del país (Banco de la República, 2022).

En cuanto a la dirección de la causalidad en la transmisión entre los precios se presentan resultados mixtos para cada una de las acciones analizadas. Los sentidos descritos por la prueba de causalidad de Granger implementada se refuerzan en todas las especies al estimar los modelos VAR y considerar la significancia individual de los coeficientes hallados. En el caso de Argos, el sentido es bidireccional, lo que significa que ambos precios se ven afectados entre sí, mientras en el caso de Aval, la causalidad se presenta únicamente del precio local hacia el ADR. En contraste, en los casos de Bancolombia y Ecopetrol, el precio de la acción local responde de manera positiva a cambios en el precio del ADR. Estos hallazgos son consistentes con la evidencia aportada a nivel internacional por Visalakshmi & Lakshmi (2016) para Argos, Fang & Loo (2002) en la especie de Aval, y por Lim (2008) y Patel (2015) en la acción de Ecopetrol y Bancolombia, donde se señala la posibilidad de que la relación se presente de manera bidireccional, desde el precio local hacia el ADR o viceversa.

El análisis de las funciones impulso-respuesta confirma los resultados de las pruebas de causalidad y de estimación de los modelos multivariados. Así mismo, la naturaleza de la relación entre el ADR y la acción en el mercado colombiano sigue, mayormente, lo encontrado por otros autores con diferentes países y en ventanas de tiempo distintas.

En lo referente a las implicaciones prácticas de los resultados del trabajo se consideran dos dimensiones: gestores de portafolio y desarrollo de mercados. En el primer caso, para un gestor de portafolio resulta de gran relevancia encontrar que las especies locales de Bancolombia y Ecopetrol reaccionan a los movimientos de los inversionistas en Estados Unidos, en la medida que el ajuste de sus posiciones -y en general el sentimiento de mercado- lo lideran los inversionistas internacionales. Es decir, aparte de los eventos macroeconómicos y específicos del Emisor en Colombia, los gestores deben mapear los riesgos emergentes de estos mismos factores para el mercado estadounidense.

En el segundo caso, frente al desarrollo de mercados, los resultados indirectamente llevan a preguntarse por qué unos ADR han sido más exitosos que otros en términos de su relación con el mercado estadounidense. Lo anterior podría sugerir que es necesario que las autoridades, los gremios y la industria en general analicen cuáles han sido los factores que han permitido a Bancolombia y Ecopetrol estrechar la relación entre estos dos mercados. Por ejemplo, según Samet et al. (2023), puede ser una indicación de un fuerte gobierno corporativo y por eso hay mayor preferencia por parte del mercado estadounidense.

CONCLUSIONES

Los ADR son certificados negociables que representan acciones de empresas extranjeras en el mercado estadounidense. Introducidos en 1927, ahora suman más de 2.400 títulos, un 60% del tamaño del mercado accionario estadounidense. Permiten a los inversores estadounidenses financiar empresas en otros mercados y a las empresas extranjeras acceder al mercado accionario más grande del mundo. Las ventajas de los ADR incluyen la diversificación de fuentes de financiación, acceso a una moneda más fuerte y mayor visibilidad. Sin embargo, también hay desventajas, como los altos costos administrativos y el mayor riesgo para las empresas.

Los estudios sobre ADR analizan su impacto en los precios de las acciones locales. Fang & Loo (2002) encuentran que los ADR son sensibles a los factores locales, mientras que Lim (2008) y Patel (2015) reportan que el precio del ADR afecta al precio local. Visalakshmi & Lakshmi (2016) encuentran resultados mixtos para los países BRICS, mientras que Acevedo et al. (2011) reportan oportunidades de arbitraje entre ADR y acciones locales. En Colombia, Gómez & Henao (2013) y Ospina (2013) analizan el caso de Bancolombia, pero no hay estudios que consideren puntualmente la relación entre el precio del ADR y el precio local.

Dado el vacío en la literatura colombiana, este artículo analiza si la dinámica del precio de las acciones en el mercado local es más sensible a los movimientos y las expectativas de los inversores internacionales cuando una empresa colombiana emite ADR. Para ello se implementa un análisis multivariado de series de tiempo mediante la estimación de vectores autorregresivos VAR-X y VEC-X para las acciones de emisores colombianos que cuentan con ADR.

En términos de la hipótesis del artículo, es posible validar la primera parte que establece la existencia de una relación de corto o largo plazo entre los precios de la acción en el mercado local y su contraparte del ADR para la mayoría de las especies analizadas. Sin embargo, respecto al "liderazgo" del ADR sobre el precio local medido según la relación de causalidad y su dirección, los resultados son mixtos y están en línea con la evidencia presentada por las investigaciones citadas en otros mercados, donde se destaca que las especies de Bancolombia y Ecopetrol son las únicas que presentan este comportamiento; el resto de las especies presentan una causalidad bidireccional o en sentido local hacia ADR.

Por otro lado, es necesario señalar las limitaciones que surgieron durante la investigación. Primero, la falta de liquidez de las especies, en especial de los ADR, tiene como consecuencia que existan pocas observaciones para el análisis y la estimación de modelos más avanzados, por ejemplo, usar técnicas de machine learning para detectar relaciones más complejas. Segundo, esa misma falta de liquidez hace muy difícil la detección y comprobación de modelos de portafolio y trading, dicha modelación requiere de muestras grandes y, a veces, con datos de alta frecuencia. Tercero, la falta de investigaciones similares dificulta el proceso de comparación y contextualización, tanto a nivel de mercados desarrollados como de los mercados similares de la región.

Finalmente, se considera interesante extender la investigación en dos vías. Por una parte, ampliar la muestra para incluir a Chile y Perú en el contexto de la integración de las bolsas y así determinar si hay algún efecto por sector o país que contribuya al entendimiento del efecto del precio del ADR sobre su contraparte local. Por otra, al aplicar un análisis sobre las operaciones diarias de estos activos alrededor de un evento significativo (por ejemplo, el reporte de resultados) sería posible definir las rutas de transmisión y la temporalidad con la que reaccionan ambas versiones del mismo activo. Ambas vías complementarían los actuales resultados al investigar con más detalle las características de la relación en otras jurisdicciones y al incluir la microestructura de mercado para las acciones.

AGRADECIMIENTOS

Los autores agradecen a los pares evaluadores y al Comité Editorial por sus valiosas observaciones y aportes.

FINANCIAMIENTO

El presente artículo es resultado de la investigación desarrollada en el marco del proyecto Microestructura de mercados, adscrito al Grupo de Investigación en Estudios Sociales, Financieros e Internacionales (ESFI), clasificado en categoría B en Minciencias (2022) y financiado por la Universidad de la Salle. Se realizó entre enero y diciembre de 2023. El artículo se basa en un trabajo de grado para optar al título de Profesional en Finanzas y Comercio Internacional de la Universidad de La Salle.

DECLARACIÓN DE CONFLICTOS DE INTERÉS

Los autores manifiestan no tener ningún conflicto de interés con los asuntos, las temáticas y empresas mencionadas en este artículo. Los datos se consolidaron de fuentes oficiales de información, la gestión de la base de datos y la implementación metodológica se realizó siguiendo los estándares y las prácticas aceptadas en los campos de la estadística, la econometría y las finanzas.

CONTRIBUCIÓN DE LOS AUTORES

José Rodrigo Vélez Molano: encargado de la conceptualización, la metodología, la visualización y la revisión y edición de la redacción.

María Inés Barbosa Camargo: encargada del análisis formal, del software y de la validación. También contribuyó al diseño de la metodología.

Andrea Paola Andrade Molero: encargada de la curaduría de datos, de la investigación, del software y de la redacción de la versión original.

Michael Steven Ávila Calderón: encargado de la curaduría de datos, de la investiga­ción, del software y de la redacción de la versión original.



REFERENCIAS

1. Acevedo, N., Fleisman, D., Montoya, A. y Mora, A. (2011). Arbitraje con ADRs: un estudio de caso sectorial para empresas de Colombia, México, Brasil y Chile. Ecos de Economía, 15(33), 7-23. https://shre.ink/rs2e

2. Acosta, A. (2017). La desesperada lucha de Ecopetrol por sobrevivir. Razón Pública. https://razonpublica.com/la-desesperada-lucha-de-ecopetrol-por-sobrevivir/

3. Aggarwal, R., Dahiya, S. y Klapper, L. (2005). American Depositary Receipts (ADR) holdings of U.S. based emerging market funds (Policy Research Working Paper, No. 3538). The World Bank. http://hdl.handle.net/10986/8555. https://doi.org/10.1596/1813-9450-3538

4. Altamar, N. (2023, julio 22). Desde la primera vuelta en 2022, Ecopetrol perdió 30% en BVC y 34% en Wall Street. Diario La República. https://www.larepublica.co/finanzas/ desde -la-primera-vuelta-en-2022-ecopetrol-perdio-30-en-bvc-y-34-en-wall-street-3663139.

5. Athey, S. y Imbens, G. (2019). Machine learning methods that economists should know about. Annual Review of Economics, 11, 685-725. https://doi.org/10.1146/annurev-economics-080217-053433

6. Banco de la República (s. f.). Estadísticas económicas. https://www.banrep.gov.co/es/estadisticas/tasas-de-interes-y-sector-financiero

7. Banco de la República (2022, diciembre 7). El comportamiento de la tasa de cambio y las estrategias de política. Banco de la República. https://www.banrep.gov.co/es/blog/comportamiento-tasa-cambio-estrategias-politica

8. Bancolombia (2020, julio 29). Bancolombia celebra 25 años de su llegada a la Bolsa de Valores de Nueva York. https://www.bancolombia.com/wps/portal/acerca-de/sala-prensa/noticias/ presencia-internacional/bancolombia-celebra-25-anos-llegada-bolsa-valores

9. Betancourt, A. y Mejía, L. (2016). La generación de valor en las adquisiciones crossborder (Caso Bancolombia-Banitsmo) (Tesis de grado, Universidad Eafit). Repositorio Institucional Universidad Eafit. http://hdl.handle.net/10784/11341

10. Bohórquez, K. S. (2020, agosto 5). Las utilidades de Ecopetrol bajaron 97,5% a junio por crisis de precios y pandemia. Diario La República. https://www.larepublica.co/economia/ las-utilidades-de-ecopetrol-bajaron-97-5-en-el-primer-semestre-3040660

11. Breusch, T. S. (1978). Testing for autocorrelation in dynamic linear models. Australian Economic Papers, 17(31), 334-355. https://doi.org/10.1111/j.1467-8454.1978.tb00635.x Nuestra Empresa. https://www.bvc.com.co/nuestra-empresa

12. Cajamarca, I. (2022, febrero 23). Acción de Bancolombia sube 4% tras resultados financieros y anuncio de dividendos. Diario La República. https://www.larepublica.co/finanzas/titulos-de-bancolombia-suben-4-tras-resultados-financieros-y-anuncio-de-dividendos-3309390

13. Cajamarca, I. (2023, febrero 9). Desaceleración de vivienda residencial afectaría los números de Cementos Argos. Diario La República. https://www.larepublica.co/empresas/ desaceleracion-de-vivienda-residencial-afectaria-los-numeros-de-cementos-argos-3541941

14. Díaz, H. (2018). Emisiones de empresas peruanas en el mercado extranjero y la liquidez de la bolsa peruana (Trabajo de grado, Universidad de Lima). Repositorio Institucional Ulima. https://repositorio.ulima.edu.pe/handle/20.500.12724/8055

15. Doornik, J. A. y Hendry, D. F. (1997). Modelling dynamic systems using PcFiml 9.0 for Windows. International Thomson Business Press.

16. Enders, W. (2010). Applied Econometric Time Series (3.a ed.). John Wiley.

17. El Economista (2023, agosto 23). El informe sobre Grupo Aval en el caso de corrupción de Odebrecht en Colombia. El Economista. https://www.eleconomista.com.mx/internacionales/El-informe-sobre-Grupo-Aval-en-el-caso-de-corrupcion-de-Odebrecht-en-Colombia-20230826-0005.html

18. El Tiempo (2022, febrero 25). Aumenta utilidad del Grupo Nutresa y de la firma Celsia. El tiempo. https://www.eltiempo.com/economia/empresas/estos-fueron-los-resultados-de-nutresa-y-de-celsia-durante-el-2021-654161

19. Engle, R. F. y Granger, C. (1987). Co-integration and error correction: Representation, estimation, and testing. Econometrica: Journal of the Econometric Society, 55(2), 251-276. https://www.jstor.org/stable/1913236. https://doi.org/10.2307/1913236

20. Espinosa Osorio, J. A. (2011). RDA Recibo de Depósito Americano. Ingeniare, (11), 11-21. https://doi.org/10.18041/1909-2458/ingeniare.11.650

21. Fang, H. y Loo, J. (2002). Pricing of american depositary receipts under market segmentation. Global Finance Journal, 13(2), 237-252. https://doi.org/10.1016/S1044-0283(02)00044-3

22. FED (s. f.). Federal Reserve Board. https://www.federalreserve.gov/data.htm

23. Giraldo, A. y Téllez, J. M. (2013, febrero 15). Ecopetrol reporta sus reservas probadas en 2012. Ecopetrol. https://shre.ink/rsQQ

24. Gómez, C. y Henao, Z. (2013). La diferencia de precio de las acciones preferenciares y ordinarias en Colombia (Tesis de grado, Universidad EIA). Repositorio Institucional EIA. https://repository.eia.edu.co/handle/11190/762

25. Granger, C. (1969). Investigating causal relations by econometric models and cross spectral methods. Econometrica, 37(3), 424-438. https://www.jstor.org/stable/1912791. https://doi.org/10.2307/1912791

26. Grupo Sura (2014). Informe anual 2014. Sura. https://www.gruposura.com/relacion-con-inversionistas/ informes/

27. Jarque, C. M. y Bera, A. K. (1987). A test for normality of observations and regression residuals. International Statistical Review, 55(2), 163-172. https://www.jstor.org/stable/1403192. https://doi.org/10.2307/1403192

28. Johansen, S. (1991). Estimation and hypothesis testing of cointegration vectors in Gaussian vector autoregressive models. Econometrica, 59(6), 1551-1580. https://www.jstor.org/stable/2938278.https://doi.org/10.2307/2938278

29. JP Morgan (2024). J.P. Morgan's adr.com. JP Morgan. https://adr.com/dr/drdirectory/drUniverse

30. JP Morgan Chase & Co (2007). JPMorgan Celebrates 80th Anniversary Of The ADR. https://web.archive.org/web/20150402125707/http://investor.shareholder.com/jpmorganchase/releasedetail.cfm?ReleaseID=239889

31. Keshari, A. y Gautam, A. (2024). Stock market integration through internationally tradable assets. The Indian Economic Journal, 72(3), 494-510. https://doi.org/10.1177/00194662241230658

32. Li, Y. y Zhang, Y. (2021). Investor sentiment, idiosyncratic risk, and stock price premium: evidence from Chinese cross-listed companies. Sage Open, 11 (2). https://doi.org/10.1177/21582440211024621

33. Lim, L. K. (2008). A cointegration analysis of price transmission between ADRs and dually listed South Korean stocks. Mathematics and Computers in Simulation, 78(2), 200-208. https://doi.org/10.1016/j.matcom.2008.01.013

34. Lutkepohl, H. (2005). New introduction to multiple time series analysis. Springer. https://doi.org/10.1007/978-3-540-27752-1

35. Mullainathan, S. y Spiess, S. (2017). Machine learning: An applied econometric approach. Journal of Economic Perspectives, 31 (2), 87-106. https://doi.org/10.1257/jep.3L2.87

36. NYSE (s. f.). Trading & data. NYSE.

37. Ospina, J. (2013). Estudio analítico sobre valoración de activos financieros; y la implementación del ADR (American Depository Receipts) sobre la acción preferencial del banco Davivienda (Trabajo de grado, Pontificia Universidad Javeriana). Repositorio Institucional Javeriano. http://hdl.handle.net/10554/12091

38. Patel, S. A. (2015). ADRs and underlying stock returns: empirical evidence from India. AI & Society, 30, 299-310. https://doi.org/10.1007/s00146-014-0551-x

39. Pfaff, B. (2008). VAR, SVAR and SVEC models: Implementation within R package vars. Journal of Statistical Software, 27(4), 1-32. https://doi.org/10.18637/jss.v027.i04

40. Pfaff, B., Zivot, E. y Stigler, M. (2022). Unit root and cointegration tests for time series data. R package version 1.3-3. https://cran.r-project.org/web/packages/urca/index.html

41. Qiu, D. (2015). aTSA: Alternative time series analysis. R package version 3.1.2. https://cran.r-project.org/web/packages/aTSA/index.html

42. R Core Team (2023). R: A language and environment for statistical computing. R Foundation for Statistical Computing. https://www.R-project.org/.

43. Royston, J. M. (1985). The regulation of american depositary receipts: Americanization of the international capital markets. North Carolina Journal of International Law and Commercial Regulation, i0(1), 87-160. https://scholarship.law.unc.edu/ncilj/vol10/iss1/8/

44. Said, S. y Dickey, D. (1984). Testing for unit roots in autoregressive moving-average models with unknown order. Biometrika, 71(3), 599-607. https://www.jstor.org/stable/2336570 https://doi.org/10.1093/biomet/71.3.599

45. Samet, A., Abdallah, W. y Abdallah, A. A. (2023). The geography and determinants of ADR holdings. The Quarterly Review of Economics and Finance, 88(3), 228-243. https://doi.org/10.1016/j.qref.2023.01.009

46. Securities and Exchange Commission (SEC) (2012). Investor bulletin: American depositary receipts. SEC. https://www.sec.gov/investor/alerts/adr-bulletin.pdf

47. Statista (2023, mayo 22). NYSE and Nasdaq: listed companies comparison Q1 2023. Statista. https://www.statista.com/statistics/1277216/nyse -nasdaq-comparison-number-listed-companies/

48. Solís, S. y Muñoz, L. (2022). El comportamiento de los american depositary receipts (ADRs) de empresas mexicanas: una perspectiva de riesgo. Denarius, 1 (42), 157-177. https://www.redalyc.org/journal/6956/695673087007/

49. Stocker, M., Baffes, J. y Vorisek, D. (2018, enero 18). En ocho gráficos: las causas de la caída del precio del petróleo en 2014-16 y los motivos por los que esta no logró impulsar la economía [Perspectivas económicas mundiales]. Blog Voces: Banco Mundial. https://blogs.worldbank.org/es/voices/en-ocho-graficos-las-causas-de-la-caida-del-precio-del-petroleo-en-2014-16

50. Visalakshmi, S. y Lakshmi, P (2016). BRICS market nexus for cross listed stocks: A VECX* framework. The Journal of Finance and Data Science, 2(1), 76-88. https://doi.org/10.1016/j.jfds.2016.02.001

51. Zeileis, A. y Hothorn, T. (2002). Diagnostic checking in regression relationships. R News, 2(3), 7-10. https://journal.r-project.org/articles/RN-2002-018/


ANEXO 1.

Prueba de inclusión de rezagos a partir de criterios de información

Ecopetrol

Rezagos

AIC

HQ

SC

FPE

1

-11.19475*

-11.14928*

-11.08272*

0.000014*

2

-11.15657

-11.08079

-10.96986

0.000014

3

-11.16067

-11.05458

-10.89928

0.000014

4

-11.12343

-10.98703

-10.78736

0.000015

5

-11.08424

-10.91752

-10.67348

0.000015

6

-11.09337

-10.89634

-10.60793

0.000015

7

-11.06411

-10.83677

-10.50399

0.000016

8

-11.01965

-10.76200

-10.38485

0.000016

9

-10.98668

-10.69872

-10.27720

0.000017

10

-10.97862

-10.66034

-10.19445

0.000017

11

-10.95487

-10.60628

-10.09602

0.000018

12

-10.93693

-10.55803

-10.00340

0.000018

Bancolombia

Rezagos

AIC

HQ

SC

FPE

1

-10.87113*

-10.83596*

-10.78385*

0.000019*

2

-10.85473

-10.79611

-10.70927

0.000019

3

-10.83137

-10.74931

-10.62773

0.000020

4

-10.81521

-10.70971

-10.55339

0.000020

5

-10.78739

-10.65843

-10.46738

0.000021

6

-10.78903

-10.63663

-10.41084

0.000021

7

-10.79063

-10.61478

-10.35425

0.000021

8

-10.79864

-10.59934

-10.30408

0.000020

9

-10.77031

-10.54757

-10.21757

0.000021

10

-10.74580

-10.49961

-10.13487

0.000022

11

-10.76794

-10.49831

-10.09883

0.000021

12

-10.73893

-10.44585

-10.01164

0.000022

Grupo Argos

Rezagos

AIC

HQ

SC

FPE

1

-8.56740

-8.51954

-8.44959*

0.000190

2

-8.60676*

-8.52701*

-8.41041

0.000183*

3

-8.57479

-8.46313

-8.29990

0.000189

4

-8.54833

-8.40478

-8.19490

0.000194

5

-8.53201

-8.35655

-8.10004

0.000197

6

-8.50931

-8.30195

-7.99880

0.000202

7

-8.51250

-8.27325

-7.92345

0.000201

8

-8.47392

-8.20276

-7.80633

0.000209

9

-8.46590

-8.16284

-7.71977

0.000211

10

-8.47740

-8.14244

-7.65273

0.000209

11

-8.46908

-8.10222

-7.56587

0.000211

12

-8.47625

-8.07749

-7.49450

0.000210

Grupo Aval

Rezagos

AIC

HQ

SC

FPE

1

-12.10604

-11.97569

-11.78344

0.000006

2

-12.23547*

-12.06167*

-11.80535*

0.000005*

3

-12.18428

-11.96703

-11.64662

0.000005

4

-12.19162

-11.93092

-11.54643

0.000005

5

-12.16994

-11.86578

-11.41721

0.000005

6

-12.14928

-11.80167

-11.28902

0.000005

7

-12.10031

-11.70925

-11.13252

0.000006

8

-12.10352

-11.66901

-11.02820

0.000006

9

-12.05096

-11.57300

-10.86811

0.000006

10

-12.02528

-11.50387

-10.73490

0.000006

11

-11.98790

-11.42304

-10.58999

0.000006

12

-11.92458

-11.31627

-10.41914

0.000007

Nota. * indica el orden de rezagos seleccionado por cada uno de los criterios de información utilizados: Akaike (AIC), Hannan-Quinn (HQ), Schwarz (SC) y Predicción Final del Error (FPE).
Fuente: elaboración propia a partir de los cálculos realizados en el software R-Studio con el paquete vars.


ANEXO 2.

Prueba de normalidad de residuales Jarque-Bera

 

Ecopetrol

Bancolombia

Argos

Aval

ADR

0.9322 (0.6275)

0.6650 (0.7171)

3.7200 (0.1557)

1.2358 (0.5391)

Local

3.5171 (0.1723)

0.7700 (0.6804)

4.8877 (0.0868)

1.1507 (0.5625)

Conjunta

2.3793 (0.6664)

7.0194 (0.1349)

8.8083 (0.0661)

4.8030 (0.3081)

Asimetría

0.4435 (0.8011)

0.7331 (0.6931)

0.7324 (0.6934)

1.8116 (0.4042)

Curtosis

1.9358 (0.3799)

6.2863 (0.0432)

8.0759 (0.0176)

2.9914 (0.2241)

Nota. P-valores de las pruebas son reportados entre paréntesis.
Fuente: elaboración propia a partir de los cálculos realizados en el software R-Studio con el paquete vars.


ANEXO 3.

Pruebas de cambio estructural (Cusum)

Fuente: elaboración propia a partir de los cálculos realizados en el software R-Studio con el paquete vars





Inicio

Creative Commons Atribución-NoComercial- CompartirIgual 4.0 Internacional (CC BY-NC-SA 4.0)