10.14718/revfinanzpolitecon.v17.2025.18

Artículo de investigación
© 2025 Universidad Católica de Colombia.
Facultad de Ciencias Económicas y Administrativas.
Todos los derechos reservados




Efectos de la automatización del empleo sobre las tasas de informalidad y los salarios en México

Effects of Job Automation on Informality Rates and Wages in Mexico


Owen Eli Ceballos Mina 1
Humberto Guadarrama Gómez 2

1 Doctor en Economía.
Profesor-Investigador del Departamento de Economía de la Universidad Autónoma Metropolitana, Unidad Azcapotzalco, Ciudad de México (México).
oecm@azc.uam.mx
0000-0003-1931-8388

2 Doctor en Ciencias Económicas,
Profesor-Visitante del Departamento de Economía de la Universidad Autónoma Metropolitana, Unidad Azcapotzalco, Ciudad de México (México).
hugg@azc.uam.mx
0009-0007-6209-5390


Recibido: 3 de junio de 2025
Evaluado: 26 de julio de 2025
Aprobado: 1 de agosto de 2025


Como citar : Ceballos Mina, O. E., y Guadarrama Gómez, H. (2025). Efectos de la automatización del empleo sobre las tasas de informalidad y los salarios en México.  Revista Finanzas Y Política Económica,  17 , 1–31. https://doi.org/10.14718/revfinanzpolitecon.v17.2025.18


Resumen

En este artículo se estudian los efectos de la automatización sobre la informalidad y los salarios en México, considerando la escolaridad como mecanismo mediador. Se usan datos del primer trimestre de 2025 de la Encuesta Nacional de Ocupación y Empleo y la metodología de Frey & Osborne (2017), para estimar modelos de variables instrumentales (VI-MC2E) y ecuaciones estructurales (SEM). Se encuentra evidencia robusta de que una mayor probabilidad de automatización incrementa la tasa de informalidad y reduce los salarios formales e informales, con mayor impacto en ocupaciones de menor escolaridad. Los modelos SEM revelan efectos indirectos significativos vía educación, especialmente sobre la informalidad y los ingresos informales. Los resultados sugieren un efecto de sustitución del empleo por capital, atenuado parcialmente por la educación. Se concluye que la automatización puede profundizar la segmentación laboral si no se acompaña de políticas públicas de recualificación, movilidad ocupacional y fortalecimiento educativo.

Palabras clave: informalidad; automatización del empleo; capital humano; cambio tecnológico; variables instrumentales; México.

Clasificación JEL: C36, J46, O17, O33.


Abstract

This article examines the effects of automation on informality and wages in Mexico, considering education level as a mediating mechanism. Data from the first quarter of 2025 of the National Survey of Occupation and Employment and the methodology proposed by Frey and Osborne (2017) are used to estimate instrumental variable models (2SLS-IV) and structural equation models (SEM). Robust evidence is found that a higher probability of automation increases the informality rate and reduces both formal and informal wages, with a greater impact on occupations requiring lower levels of education. The SEM models reveal significant indirect effects through education, particularly on informality and informal income. The results suggest a substitution effect of labor by capital, partially mitigated by education. It is concluded that automation may deepen labor segmentation if not accompanied by public policies promoting reskilling, occupational mobility, and educational strengthening.

Keywords: informality; job automation; human capital; technological change; instrumental variables; México.


INTRODUCCIÓN

Los mercados laborales latinoamericanos enfrentan dos procesos estructurales que avanzan de manera paralela: la informalidad persiste como principal vía de empleo y la automatización se acelera con el cambio tecnológico (Comisión Económica para América Latina y el Caribe [Cepal], 2023a). Aunque suelen analizarse por separado, su convergencia genera nuevos mecanismos de segmentación laboral que amplían desigualdades históricas en la región. En economías heterogéneas como la mexicana, la fragmentación productiva limita la absorción tecnológica y la alta proporción de trabajadores en ocupaciones rutinarias y de baja cualificación los hace especialmente vulnerables a la sustitución. Esta dinámica plantea retos para la movilidad social y la productividad.

En este escenario, el capital humano se configura como un factor decisivo de vulnerabilidad o resiliencia frente al cambio tecnológico. La automatización de tareas rutinarias en ocupaciones formales puede desplazar trabajadores hacia el sector informal, intensificando la precarización, y la capacidad de adaptación depende en gran medida del nivel educativo. En América Latina, la informalidad concentra a millones de trabajadores con baja protección y escasa remuneración (Gasparini & Tornarolli, 2009). Al mismo tiempo, la automatización eleva la eficiencia, pero puede generar desempleo tecnológico y presiones salariales descendentes (Maurizio et al., 2023). Los trabajadores con menor escolaridad enfrentan así un doble riesgo: la sustitución por tecnologías y la permanencia en la informalidad.

Este doble riesgo se observa con especial intensidad en México, donde la informalidad laboral alcanza cerca del 60 % de la población ocupada. Incluye tanto a quienes laboran en unidades económicas informales como a quienes, aun empleados en el sector formal, carecen de prestaciones básicas (Maloney, 2004). Su persistencia obedece a la pobreza, la baja escolaridad y la desigualdad territorial, y genera efectos adversos sobre la productividad, el bienestar y el crecimiento económico (Dougherty & Escobar, 2013; La Porta & Shleifer, 2014; Sáenz & Martínez, 2017; Temkin & Cruz, 2019).

Existe evidencia empírica reciente que documenta el impacto del riesgo de automatización sobre empleo y salarios; en particular, estudiando la incidencia en las ocupaciones según su exposición tecnológica (Ceballos & Guadarrama 2025; Cebreros et al., 2020; Minian & Martínez, 2018; Varela & Tavares, 2023); sin embargo, la investigación sobre su interacción con la informalidad sigue siendo incipiente. La automatización entendida como un cambio técnico sesgado, desplaza ocupaciones rutinarias y favorece a trabajadores con mayores habilidades, segmentando el mercado laboral (Acemoglu & Autor, 2011; Acemoglu & Restrepo, 2017). Esto puede reforzar dinámicas en las que trabajadores del sector formal son desplazados y se insertan en la informalidad de forma alternativa (Filippi et al., 2023). De esta manera, la automatización no solo transforma la producción en el sector formal, sino que también puede favorecer la expansión relativa del empleo informal.

En este escenario, el artículo tiene por objetivo analizar los efectos de la automatización del empleo sobre la informalidad y los salarios en México, incorporando el papel mediador de la escolaridad como proxy del capital humano. La hipótesis central sostiene que la automatización segmenta el mercado laboral a través de dos mecanismos principales. Por un lado, desplaza a trabajadores de ocupaciones rutinarias hacia empleos informales como vía de inserción compensatoria. Por otro, genera presiones salariales descendentes en ocupaciones poco calificadas al reducir la demanda de tareas repetitivas. El capital humano, medido a través de la escolaridad promedio de las ocupaciones, actúa como un factor de resiliencia que mitiga parcialmente estos efectos negativos.

Este trabajo ofrece tres contribuciones principales. Primero, examina de manera integrada los efectos de la automatización sobre informalidad y salarios, dimensiones usualmente estudiadas por separado. Segundo, incorpora un análisis de mediación causal que permite identificar mecanismos estructurales más allá de enfoques correlacionales. Tercero, presenta evidencia empírica actualizada para México con datos del 2025 y una estrategia metodológica que combina modelos de variables instrumentales y ecuaciones estructurales. Esta aproximación es novedosa en el contexto latinoamericano, donde la mayoría de los estudios han analizado por separado el empleo formal o los salarios, sin considerar la interacción con la informalidad ni el papel mediador del capital humano.

El estudio propone una estrategia empírica en dos niveles, que combina modelos de variables instrumentales mediante mínimos cuadrados en dos etapas (IV-MC2E) y modelos de mediación causal a través de ecuaciones estructurales (SEM). Se utilizan datos del primer trimestre de la Encuesta Nacional de Ocupación y Empleo (ENOE) de 2025 (Instituto Nacional de Estadística y Geografía [Inegi], 2025), agrupados a escala ocupacional con base en el Sistema Nacional de Clasificación de Ocupaciones (Sinco). La probabilidad de automatización, elaborada a partir de Frey & Osborne (2017), se trata como endógena e instrumentada con la edad y la escolaridad promedio. Esta complementariedad permite estimar efectos causales consistentes de la automatización sobre los resultados laborales y, al mismo tiempo, descomponerlos en efectos directos e indirectos para identificar el papel mediador de la educación.

El documento se organiza en seis secciones, incluida esta introducción. La segunda sección revisa la literatura sobre automatización, informalidad y desigualdad salarial. La tercera, describe las fuentes de información y la estrategia econométrica. La cuarta, presenta los resultados de las estimaciones con variables instrumentales, mientras que la quinta sección reporta los efectos directos e indirectos de la automatización con modelos estructurales. La sexta, discute los hallazgos y propone recomendaciones de política, mientras que la última sección ofrece las conclusiones del trabajo.

AUTOMATIZACIÓN, INFORMALIDAD Y SALARIOS: UNA REVISIÓN DESDE EL CAPITAL HUMANO

Pese a la creciente preocupación por los efectos del cambio tecnológico sobre el empleo, la literatura sigue siendo fragmentada en cuanto a sus vínculos con la informalidad laboral. Este apartado propone avanzar hacia un marco interpretativo que articule, por un lado, los efectos directos de la automatización sobre la segmentación laboral y, por otro, los mecanismos a través de los cuales el capital humano amortigua o refuerza estas dinámicas. La automatización constituye una manifestación actual del cambio técnico sesgado hacia las habilidades, en el que las tareas rutinarias son reemplazadas por tecnologías digitales, mientras crece la demanda de trabajadores calificados (Acemoglu & Autor, 2011; Katz & Murphy, 1992).

La preocupación por el impacto del progreso técnico en el empleo no es reciente. En Principles of political economy and taxation, Ricardo (1821) advertía en el capítulo XXXI que, aunque la maquinaria eleva la productividad y el producto total, también puede desplazar trabajadores y reducir la demanda de empleo. Este efecto sustitutivo entre capital y trabajo, sin embargo, podría revertirse en el largo plazo si la economía reinvierte y abre nuevas ramas productivas. Keynes (1930) retomó esta preocupación y señaló que la tecnología, además de aumentar la producción y contribuir a superar la escasez, puede generar desempleo tecnológico cuando la innovación avanza más rápido que la capacidad de adaptación del mercado. Consideró este desempleo transitorio, pero imaginó que en el futuro podría reducirse la jornada laboral y redefinirse la relación entre trabajo y ocio.

Por otro lado, Tinbergen (1975) analizó el cambio técnico desde la óptica distributiva. Reconoció que la innovación eleva la productividad, pero advirtió que puede ensanchar las brechas salariales al aumentar la demanda de trabajadores cualificados y reducir la de no cualificados. A su juicio, el impacto del progreso técnico no es inevitable y depende de la capacidad del Estado para acompañarlo con políticas educativas, de capacitación y redistributivas.

Más recientemente, Acemoglu & Restrepo (2022) cuestionaron el enfoque neoclásico que concibe el cambio técnico como un simple aumento de productividad sin alterar las proporciones entre capital y empleo. Con base en evidencia empírica de Estados Unidos, muestran que la participación del trabajo en el ingreso ha disminuido y que la composición del empleo se ha modificado de forma significativa. Proponen un modelo de tareas en el que la automatización sustituye funciones humanas por equipos automatizados, lo que ayuda a explicar por qué la demanda de trabajo cae, la distribución del ingreso se altera y las relaciones entre capital y empleo cambian de manera persistente.

El concepto de automatización ha sido definido desde distintos niveles de análisis y con enfoques metodológicos diversos. Fernández-Macías (2018) la concibe como el reemplazo generalizado de trabajo humano por tecnología, mientras que Sostero (2020) la delimita a la sustitución de funciones específicas en los procesos productivos. Frey & Osborne (2017) introducen una medición probabilística basada en la capacidad técnica de los algoritmos para replicar tareas humanas. Aunque difieren en alcance y metodología, los tres enfoques coinciden en que la automatización transforma de manera profunda la estructura ocupacional y los procesos organizativos, al redefinir la demanda de habilidades y afectar la estabilidad, calidad y formalidad del empleo (Filippi et al., 2023).

Los efectos centrales de la automatización del empleo se dividen en dos dimensiones: el efecto de escala o complementariedad y el efecto de sustitución (Aboal et al., 2021; Maurizio et al., 2023). El primero refleja un uso complementario de la tecnología, ya que el aumento de la productividad del capital físico y humano puede impulsar la producción y, en consecuencia, elevar la demanda de trabajo. El segundo aparece cuando las tecnologías digitales reemplazan directamente a los trabajadores en ciertas tareas, lo que reduce la participación del trabajo humano en los procesos productivos (Bentaouet-Kattan et al., 2021; Dawid & Neugart, 2023).

Los efectos de escala y sustitución contribuyen a la polarización del mercado laboral. Los trabajadores con mayores competencias digitales acceden a empleos menos expuestos y mejor remunerados, mientras que quienes tienen menor escolaridad enfrentan mayores riesgos de sustitución y precarización (Acemoglu & Autor, 2011; Espíndola & Suárez, 2023). Esta dinámica combina la expansión de puestos altamente especializados con la reducción de ocupaciones rutinarias, lo que refuerza el papel del capital humano como condición de acceso y como factor de resiliencia frente al sesgo de habilidades de la automatización (Acemoglu & Loebbing, 2022; Acemoglu & Restrepo, 2017, 2022).

La probabilidad de automatización de las ocupaciones ha sido estimada desde diversas perspectivas. Una línea de investigación, como la del McKinsey Global Institute (2017), evalúa el potencial de sustitución tecnológica considerando atributos específicos de las tareas laborales —por ejemplo, habilidades cognitivas, físicas y sociales—, sin embargo, desde esta estrategia metodológica basada en tareas, se concluye que solo una fracción reducida de las ocupaciones son totalmente automatizables.

Otra aproximación destacada es la desarrollada por Frey & Osborne (2013, 2017), quienes emplean un modelo probabilístico apoyado en algoritmos de aprendizaje automático y datos de la base O*NET para clasificar ocupaciones según su exposición tecnológica. Este método estima que una proporción sustancial del empleo en países desarrollados enfrenta un alto riesgo de automatización. Su enfoque ha sido adaptado para estudiar contextos como el mexicano, permitiendo relacionar estructuras ocupacionales con niveles esperados de impacto tecnológico en economías con alta heterogeneidad estructural.

En México, la automatización del empleo representa un riesgo tanto por la posible sustitución de trabajadores como por sus efectos regresivos en la distribución salarial (Banxico, 2018). Por su parte, Minian & Martínez (2018), aplicando la metodología de Frey & Osborne (2017), estimaron que más del 60 % del empleo total presenta alto riesgo de automatización, especialmente entre personas con menor nivel educativo. Adicionalmente, Rodríguez & Meza (2024) concluyen que el riesgo ha aumentado entre el 2005 y el 2019, y que es mayor entre hombres, trabajadores industriales y residentes del norte del país, mientras que el capital humano reduce significativamente la exposición. Asimismo, Varela & Tavares (2023) muestran que los trabajadores en ocupaciones más automatizables perciben ingresos más bajos, lo que sugiere que el cambio técnico también refuerza la desigualdad salarial.

En las economías emergentes, la automatización del empleo incide en fenómenos que se manifiestan en los mercados de trabajo como la desigualdad salarial y la informalidad (Cepal, 2023b). Desde los enfoques que subrayan la segmentación y la heterogeneidad estructural del empleo, la informalidad se asocia con precariedad persistente, marcada por ingresos inestables, falta de protección social y derechos laborales limitados. Estos efectos se agravan en grupos vulnerables —como mujeres, jóvenes y personas mayores—, quienes enfrentan mayores barreras para acceder a empleo formal (Cepal, 2022; Martínez, 2009).

En América Latina, la informalidad laboral se asocia con ingresos bajos, inestabilidad y falta de protección social, lo que limita las condiciones de vida de los hogares (Cepal, 2023a). Por otro lado, los trabajadores informales ganan entre el 40 % y el 60 % menos que sus pares formales, incluso realizando tareas similares. Esta brecha refleja un mercado segmentado que restringe la acumulación de ingresos y capital humano (Cepal, 2022). En el trabajo digital, Tubaro et al. (2024) muestran que, en países como Argentina, Brasil y Venezuela, muchos trabajadores en plataformas enfrentan precariedad e ingresos bajos, pese a contar con niveles educativos altos.

La informalidad laboral en la región afecta a una proporción significativa de la fuerza laboral, caracterizándose por ingresos bajos, inestabilidad y limitada protección social (Cepal, 2023a). Esta condición suele concentrarse en ocupaciones rutinarias y con baja acumulación de capital humano, lo que incrementa su vulnerabilidad al cambio tecnológico. Aunque la informalidad limita la adopción de tecnologías (Cebreros et al., 2020), también actúa como mecanismo compensatorio ante el desplazamiento laboral, absorbiendo parte del ajuste generado por la automatización (Bonavida et al., 2022).

La literatura que explora de forma explícita la relación entre automatización e informalidad aún es incipiente. Si bien algunos trabajos abordan esta interacción, pocos la consideran objeto central de análisis. Cebreros et al. (2020) destacan las limitaciones estructurales del sector informal para adoptar tecnologías, mientras que Bonavida et al. (2022) encuentran evidencia empírica de que el avance de la robotización en América Latina ha estado acompañado por un aumento relativo en la informalidad. La informalidad también intensifica la exposición de ciertos trabajadores a los riesgos asociados con la automatización. En países como Chile, Ecuador, México y Perú se ha documentado que los trabajadores informales suelen desempeñar tareas altamente rutinarias, lo que los hace especialmente vulnerables al reemplazo tecnológico (Maurizio et al., 2023). Esta condición se agrava por la escasa capacidad del sector informal para ofrecer acceso a formación continua o mecanismos de reconversión laboral (Cepal, 2022).

La literatura reciente subraya que la automatización y la informalidad interactúan a través de brechas educativas. Trabajadores con menor escolaridad no solo enfrentan mayor riesgo de ser reemplazados, sino que también presentan mayores tasas de informalidad (Maurizio et al., 2023). La falta de mecanismos de formación continua y reconversión laboral en el sector informal amplifica esta vulnerabilidad (Egana-delSol & Bravo-Ortega, 2025). En este contexto, el capital humano no solo condiciona el tipo de inserción laboral, sino también la capacidad de adaptación ante el cambio tecnológico.

Una de las estrategias más señaladas para reducir la informalidad laboral en América Latina ha sido la expansión de la educación formal, dado que esta incide positivamente en el acceso al empleo protegido (Gasparini & Tornarolli, 2009; Perry et al., 2007). La relación entre escolaridad e informalidad se explica tanto por el efecto directo de la educación sobre la empleabilidad como por su papel como señal de productividad en mercados laborales segmentados (Sáenz & Martínez, 2017). En la región, distintos estudios han documentado que los trabajadores con menor nivel educativo enfrentan mayores barreras para acceder a empleos formales, mientras que quienes poseen educación superior presentan tasas significativamente menores de informalidad (Bosch & Campos-Vázquez, 2010; Cepal, 2023c).

Este artículo parte de la premisa de que una mayor rutinariedad de las tareas se asocia con menores ingresos y mayor riesgo de inserción en empleos informales, riesgos que se amplifican cuando la sustitución tecnológica presiona los salarios y desplaza trabajadores hacia el sector informal, en el cual la automatización es limitada. En este escenario, la educación formal adquiere un papel central al mejorar la empleabilidad, reducir la exposición al trabajo rutinario y mitigar los efectos regresivos del cambio técnico; sin embargo, la literatura que examina de manera conjunta la relación entre automatización, informalidad y salarios es todavía escasa. Así, el estudio busca aportar evidencia estadística sobre cómo la automatización incide en estas dimensiones tanto de forma directa como a través de los mecanismos de transmisión vinculados al capital humano.

METODOLOGÍA

Este estudio utiliza una estrategia de estimación en dos niveles, que combina modelos de variables instrumentales estimados por mínimos cuadrados en dos etapas (IV-MC2E) y modelos de ecuaciones estructurales (SEM). La primera técnica permite obtener efectos causales consistentes al corregir la endogeneidad en la relación entre automatización e indicadores laborales. La segunda ofrece una descomposición de esos efectos en componentes directos e indirectos, lo que hace posible evaluar explícitamente el papel mediador del capital humano. La combinación de ambas metodologías constituye una innovación del estudio, ya que permite no solo identificar la magnitud causal del impacto de la automatización, sino también entender los mecanismos estructurales mediante los cuales esta se transmite a la informalidad y los salarios.

Fuente de información, variables y descriptivos

Con datos del primer trimestre de la ENOE (Inegi, 2025) se construye una base de corte transversal que agrupa las características promedio de los trabajadores según su ocupación principal. La unidad de análisis corresponde a cada código ocupacional del Sistema Nacional de Clasificación de Ocupaciones (Sinco), al que se imputan las probabilidades de automatización propuestas por Frey & Osborne (2017), ajustadas al contexto mexicano. La probabilidad de automatización por ocupación se define como la variable de tratamiento principal del estudio.

Se usan tres indicadores del mercado laboral como variables dependientes: (1) la tasa de informalidad, definida como el cociente entre trabajadores informales y el total de ocupados por ocupación; (2) el salario informal, y (3) el salario formal, ambos medidos como el logaritmo del salario mensual promedio —de los trabajadores informales y formales, respectivamente. Se especifica como variable mediadora el nivel promedio de escolaridad por ocupación, medido en años de educación formal.

Como controles sociodemográficos se incorpora la experiencia laboral estimada1 (lineal y cuadrática), la proporción de trabajadoras mujeres y la proporción de trabajadores rurales por ocupación. La variable de edad promedio se utiliza como instrumento adicional de la automatización para abordar el problema de endogeneidad; además, como prueba de robustez, todos los modelos se estiman sustituyendo la variable de tratamiento (automatización por ocupación) por la probabilidad de automatización promedio por sector, que captura los efectos agregados a dos dígitos del Sistema de Clasificación Industrial de América del Norte (SCIAN) para las actividades económicas.

La tabla 1 presenta los estadísticos descriptivos por ocupación. En promedio, la tasa de informalidad alcanza el 41,3 %, con una dispersión importante entre ocupaciones. Los salarios mensuales promedios son de $6708 en el sector informal y $9052 en el formal, reflejando una brecha importante en las condiciones laborales. Respecto al tratamiento, la probabilidad de automatización por ocupación es del 52,5 %, mientras que la probabilidad del promedio sectorial asciende al 62,7 %, lo cual sugiere una mayor exposición al cambio tecnológico en entornos productivos agregados. El nivel educativo promedio por ocupación es de 12,2 años, equivalente al nivel medio superior terminado. Las características demográficas reflejan una edad promedio de 40,5 años, 22,3 años de experiencia, con una presencia femenina del 34,8 % y una participación rural del 14,6 % en las ocupaciones.

Tabla 1 Descriptivos: valor medio de las variables por ocupación

Variables de análisis

Media

Error estándar

Obs.

Dependientes

Tasa de informalidad

0,413

(0,015)

480

Salario informal

6707,93

(395,84)

457

Salario formal

9052,20

(367,37)

471

Tratamientos

Probabilidad de automatización por ocupación

0,525

(0,018)

480

Probabilidad de automatización promedio por sector

0,627

(0,007)

480

Años de educación

12,174

(0,168)

480

Controles

Edad

40,501

(0,262)

480

Experiencia

22,314

(0,338)

480

Proporción de trabajadoras mujeres

0,348

(0,013)

480

Proporción de trabajadores rurales

0,146

(0,010)

480

Fuente: elaboración propia con datos del primer trimestre de la ENOE (2025).

La gráfica 1A muestra una asociación positiva casi lineal entre el grado de automatización y la tasa de informalidad. Las ocupaciones con mayor riesgo de sustitución tecnológica exhiben, en promedio, mayores niveles de informalidad, lo cual es consistente con la hipótesis de desplazamiento de trabajadores poco calificados hacia segmentos no protegidos del mercado laboral. Por su parte, la gráfica 1B indica que el salario promedio, tanto en el sector formal como informal, tiende a reducirse conforme se incrementa la probabilidad de automatización. En el sector formal esta penalización, indicada por la pendiente, es más pronunciada; sin embargo, las ocupaciones del sector informal pueden estar más expuestas al cambio técnico, por lo que podría existir una doble desventaja para estas ocupaciones dadas las presiones salariales.

Gráfica 1 Informalidad y salarios por grado de automatización

Fuente: elaboración propia con datos del primer trimestre de la ENOE (Inegi, 2025).


De forma complementaria, la gráfica 2 evidencia una relación negativa entre la escolaridad promedio y la probabilidad de automatización. Las ocupaciones con mayor nivel educativo presentan menores riesgos de ser automatizadas, lo que refuerza el papel potencial del capital humano como mecanismo de protección frente al cambio tecnológico. Esta correlación empírica sustenta la hipótesis de que la escolaridad podría actuar como variable mediadora, modulando los efectos del riesgo tecnológico sobre los resultados laborales.

Los patrones empíricos observados en este análisis descriptivo respaldan la hipótesis de que la automatización actúa como un mecanismo de segmentación laboral, particularmente adverso para las ocupaciones con menor nivel educativo. La asociación positiva entre la probabilidad de automatización y la tasa de informalidad, así como la reducción salarial en ocupaciones altamente automatizables, sugiere la presencia de un efecto de sustitución del trabajo por capital que impacta de manera heterogénea en el mercado laboral. Adicionalmente, la relación negativa entre escolaridad y riesgo tecnológico apunta a un posible papel modulador del capital humano en esta dinámica.

Gráfica 2 Probabilidad de automatización por nivel de educación

Fuente: elaboración propia con datos del primer trimestre de la ENOE (Inegi, 2025).

Sin embargo, se debe considerar que estas relaciones podrían estar sesgadas por problemas de endogeneidad, tales como la simultaneidad o la correlación entre la automatización y variables no observadas. Esto justifica una estrategia econométrica de doble vía; por un lado, modelos de variables instrumentales (VI-MC2E) para identificar los efectos causales de la automatización; por otro, modelos de ecuaciones estructurales (SEM) para descomponer los efectos totales en componentes directos e indirectos, destacando el rol mediador de la educación. La estrategia conjunta permite capturar con mayor precisión la magnitud, la dirección y los mecanismos de transmisión del efecto sustitución, considerando las diferencias estructurales en el perfil educativo de las ocupaciones.

Modelo de variables instrumentales (VI-MC2E)

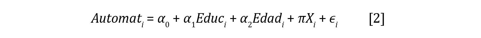
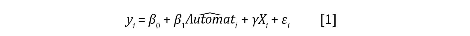
La primera parte de la estrategia de identificación econométrica se apoya en modelos de regresión lineal con variables instrumentales, estimados por Mínimos Cuadrados en Dos Etapas (MC2E). La ecuación principal (segunda etapa del modelo) presenta la siguiente forma (ecuación 1):


En la cual, yi es variable dependiente que corresponde a tasa de informalidad, salario informal o salario formal, de la ocupación i; la variable Automati (automatización por ocupación o sector) es tratada como endógena, y Xes un vector de variables de control que incluye: (1) la experiencia promedio y su cuadrado como aproximaciones al capital humano acumulado; (2) la proporción de mujeres por ocupación, para capturar la segmentación de género; y (3) la proporción de trabajadores rurales, que aproxima condiciones de informalidad estructural ligada a la localización.

La automatización es instrumentada con la edad y el nivel educativo promedio de la ocupación en la primera etapa, como se describe en la ecuación 2:


En la cual, Educ y Edad son los instrumentos excluidos de la segunda etapa; a escala de ocupación, se espera que estas variables sean determinantes de la automatización y que no afecten de forma directa a la informalidad y a los salarios. Por otro lado, X incluye las mismas variables de control que en la ecuación (1). Las estimaciones se realizaron usando el comando ivreg2de Stata, lo que permite realizar pruebas robustas de exclusión (test de sobreidentificación de Sargan), de instrumentos débiles (Cragg-Donald) y consistencia bajo heterocedasticidad robusta. De esta forma se estiman seis especificaciones, resultado de cruzar dos medidas de automatización (por ocupación y por sector) con tres resultados laborales (informalidad, salario informal y salario formal), lo que asegura consistencia y comparabilidad en los hallazgos.

El uso de la escolaridad promedio como instrumento para la probabilidad de automatización se justifica empíricamente bajo el enfoque ocupacional agregado: en este nivel de análisis, la escolaridad condiciona la estructura de tareas y, por tanto, la exposición tecnológica, sin incidir de manera directa en la informalidad o los salarios cuando ya se controla por la automatización. Si bien a escala individual sería problemático suponer exclusión directa, a escala ocupacional se cumple el supuesto de validez condicional, dado que los efectos de la escolaridad sobre los resultados laborales se transmiten principalmente vía la automatización.

Modelos estructurales de mediación causal (SEM)

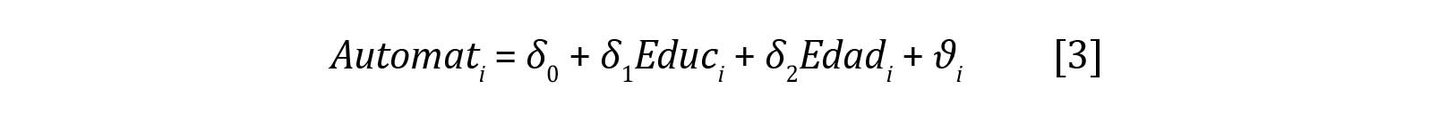
De forma complementaria a la estrategia VI-MC2E, se estiman modelos de mediación causal mediante la metodología de ecuaciones estructurales (SEM). Esta técnica permite descomponer el efecto total de la automatización sobre los resultados laborales en sus componentes directo e indirecto; este último, mediado por el nivel educativo (escolaridad) de las ocupaciones. A diferencia de los modelos de variables instrumentales que estiman efectos causales promedio con supuestos de exclusión, los modelos SEM permiten especificar rutas causales simultáneas, identificando los efectos de la automatización así:

Directos: automatización—resultado laboral

Indirectos: automatización—escolaridad—resultado laboral

El diagrama estructural en la figura 1 resume las rutas causales así:

Figura 1 Diagrama de efectos de la automatización vía escolaridad

Fuente: elaboración propia.


La estructura básica del modelo incluye dos ecuaciones: una que estima la automatización (por ocupación o por sector) como función de los niveles de educación y edad promedio; y otra, que estima el resultado laboral (tasa de informalidad, salario informal o salarioformal) como función de la automatización y los controles, así (ecuaciones 3 y 4):


En las que, en la ecuación (3) Automat, es la probabilidad de automatización por ocupación (o promedio sectorial); Educ es el nivel promedio de escolaridad por ocupación (variable mediadora); Edad, es la variable exógena que captura diferencias etarias promedio entre ocupaciones. En la ecuación (4), la variable y. representa la tasa de informalidad, el logaritmo del salario informal o formal; mientras X es vector de controles: experiencia, proporción de mujeres y de trabajadores rurales por ocupación.

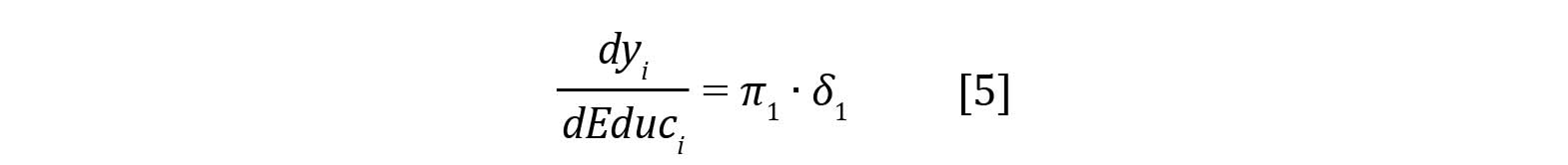
Los coeficientes estimados en las ecuaciones (3) y (4) permiten descomponer el efecto total de la automatización sobre los resultados en un efecto directo (no mediado) y un efecto indirecto vía educación (ecuación 5):


En la cual, n1 es el efecto directo de la automatización sobre el resultado laboral, mientras ô1 es el efecto de la educación sobre la automatización. Esta aproximación permite validar si la escolaridad actúa como un mecanismo mitigante del efecto sustitución tecnológico que empuja a los trabajadores hacia el sector informal o que reduce su salario.

La combinación de VI-MC2E y SEM proporciona una estrategia robusta de identificación empírica; esta complementariedad metodológica no solo permite estimar efectos causales, sino también comprender los mecanismos estructurales mediante los cuales el capital humano amortigua el impacto del cambio tecnológico. Por un lado, los modelos VI abordan el sesgo de simultaneidad y correlación entre los errores y las variables explicativas. Por otro lado, los modelos SEM permiten analizar rutas causales explícitas y cuantificar el rol mediador de la escolaridad, con una base conceptual compatible con la hipótesis de sustitución laboral diferenciada por capital humano. La inclusión de la medida sectorial agregada de automatización permite controlar por posibles sesgos o ruido en la asignación ocupacional.

ESTIMACIÓN POR VARIABLES INSTRUMENTALES (VI-MC2E)

En este apartado se presentan los resultados de las estimaciones de modelos de regresión con variables instrumentales en el marco de ecuaciones estructurales recursivas (MC2E), que se proponen para evaluar el efecto causal de la probabilidad de automatización sobre la tasa de informalidad y los salarios mensuales. La estrategia incluye dos tratamientos alternativos: la probabilidad de automatización por ocupación y su versión sectorial promedio, para validar la robustez de los resultados frente a posibles errores de clasificación ocupacional.

Se analizan tres variables dependientes: la tasa de informalidad por ocupación, el logaritmo del salario mensual en ocupaciones informales y el logaritmo del salario mensual en ocupaciones formales. En todos los modelos, la probabilidad de automatización se instrumenta con el nivel de escolaridad promedio y la edad media por ocupación, incorporando como controles sociodemográficos la experiencia (lineal y cuadrática), la proporción de mujeres trabajadoras y la proporción de trabajadores rurales. Las estimaciones de informalidad se comparan con sus equivalentes por Mínimos Cuadrados Ordinarios (MCO) para contrastar el sesgo de endogeneidad.

Automatización y tasa de informalidad

Los resultados para la tasa de informalidad se reportan en la tabla 2. Se observa que mientras las estimaciones por MCO en las columnas 1 y 2 poseen coeficientes negativos, los modelos de variables instrumentales (VI-MC2E) de las columnas 3 y 4, revierten el signo y revelan efectos positivos, consistentes y significativos. Esta diferencia muestra la importancia de corregir el sesgo de endogeneidad entre la informalidad y la automatización, que puede provenir de la simultaneidad entre estas variables o de la omisión de variables relevantes no disponibles para la estimación relacionadas con las características del capital humano o la heterogeneidad sectorial.

Las pruebas de las estimaciones VI-MC2E muestran que, tanto en el caso de las ocupaciones como en el del promedio sectorial, se rechaza la hipótesis nula de la presencia de instrumentos débiles (prueba-F: 135,13 y 91,94), mientras que en la prueba Sargan de sobreidentificación no se rechaza la hipótesis nula de que ambos instrumentos son bien excluidos de la ecuación principal (p-valor es: 0,5322 y 0,2295); es decir, la edad y la escolaridad promedio explican adecuadamente la probabilidad de automatización, y a su vez explican la informalidad, pero a través de su efecto sobre la automatización2.

La tabla 2 muestra que un incremento de un punto porcentual en la probabilidad de automatización eleva significativamente (p > 0,01) la tasa de informalidad entre 0,474 y 1,437 puntos porcentuales para las ocupaciones y el promedio sectorial, respectivamente. Se evidencia que la experiencia promedio y la proporción de trabajadoras mujeres también afectan la tasa de informalidad por ocupación. Una mayor proporción de mujeres se asocia con niveles superiores de informalidad. En el caso de la experiencia que representa el capital humano y resulta de la combinación entre la edad y la educación, se identifican efectos no lineales sobre la informalidad; al principio la experiencia reduce la tasa de informalidad, pero con el incremento de la edad después de cierto punto la experiencia cuadrática se asocia con mayores niveles de informalidad.

Tabla 2 Efectos de la automatización sobre la informalidad: MCO vs. VI-MC2E


Fuente: elaboración propia con datos del primer trimestre de la ENOE (Inegi, 2025).


Los coeficientes de la escolaridad en la primera etapa son negativos y estadísticamente significativos, lo que valida su función como instrumento relevante. Estos hallazgos respaldan la hipótesis del efecto de sustitución: en contextos de mayor automatización, los trabajadores menos calificados y con tareas más rutinarias tienden a desplazarse hacia el sector informal, en el cual el capital tecnológico aún no reemplaza completamente la fuerza laboral.

Automatización, salarios informales y formales

La tabla 3 presenta las estimaciones VI-MC2E de los efectos de la probabilidad de automatización sobre los salarios mensuales de las ocupaciones informales (columnas 1 y 2) y formales (columnas 3 y 4). En principio, se observa que la automatización también ejerce un impacto negativo y significativo sobre los ingresos percibidos por trabajadores informales. Los coeficientes indican que un aumento en un punto porcentual de la probabilidad de automatización de las ocupaciones reduce en el 0,380 % (p < 0,01) el salario informal, mientras que un aumento de un punto porcentual en la probabilidad de automatización del promedio sectorial reduce en el 1,255 % (p < 0,01) el salario de la ocupación.

Los efectos encontrados son robustos al considerar las dos especificaciones y los controles respectivos. Se debe tomar en cuenta que sectores con alta automatización suelen concentrar tareas repetitivas de bajo valor agregado, por lo que estos resultados sugieren una doble penalización de la automatización para los trabajadores desplazados: no solo son empujados al sector informal, sino que además enfrentan condiciones salariales más precarias, agravando la segmentación del mercado laboral. El efecto es más pronunciado cuando se mide la automatización a escala sectorial, lo que podría indicar que los efectos estructurales del cambio tecnológico se amplifican en entornos productivos con un grado de automatización más homogéneo.

En las columnas (3) y (4) de la tabla 3, se observa que la automatización también tiene un efecto negativo significativo e incluso de mayor magnitud relativa, sobre los salarios formales. El efecto estimado es de -0,614 (p < 0,01) y de -1,825 (p < 0,01) en el caso de las ocupaciones y del promedio sectorial. Los coeficientes de la escolaridad en la primera etapa son nuevamente negativos y significativos, lo que refuerza la validez del instrumento en todos los modelos. Las pruebas de sobreidentificación de Sargan no rechazan la validez de los instrumentos en ninguno de los casos (p > 0,11), y los valores F de la primera etapa superan ampliamente los umbrales críticos para descartar debilidad de los instrumentos.

Tabla 3 Efectos de la automatización sobre los salarios: estimaciones VI-MC2E

Fuente: elaboración propia con datos del primer trimestre de la ENOE (Inegi, 2025).


Estos hallazgos indican que, aunque el sector formal ofrece mayor protección institucional, los efectos del cambio tecnológico también afectan sus niveles de remuneración, en especial en sectores con mayor exposición tecnológica. La automatización genera un posible efecto de desplazamiento en el sector formal, en el cual las ocupaciones más expuestas podrían perder valor relativo frente a funciones más complejas y menos automatizables. Asimismo, los resultados reafirman la necesidad de una actualización del capital humano ante la transformación tecnológica del trabajo.

EFECTOS DIRECTOS E INDIRECTOS: EVIDENCIA DEL PAPEL MEDIADOR DE LA EDUCACIÓN (SEM)

Con el fin de identificar los mecanismos estructurales mediante los cuales la automatización incide sobre la informalidad y los salarios, se estimaron modelos de mediación causal mediante la metodología SEM, que permite descomponer los efectos totales de la automatización. En estos modelos, la escolaridad actúa como variable mediadora entre la automatización y las tres variables de resultado: tasa de informalidad, salario en el sector informal y salario en el sector formal. Igual que en el apartado previo, para cada modelo se estiman dos especificaciones paralelas: una utilizando la probabilidad de automatización por ocupación y otra con su versión sectorial.

La estrategia de estimación SEM adoptada en este apartado es complementaria a la utilizada en los modelos de variables instrumentales (VI-MC2E). Mientras que los modelos VI permiten corregir sesgos de endogeneidad y recuperar relaciones causales promedio entre automatización y resultados, el enfoque SEM aporta una representación más detallada de las rutas causales internas del sistema, puesto que permite descomponer el efecto total de la automatización en dos componentes: efecto directo (automatización — resultado laboral) e indirecto (automatización — escolaridad — resultado laboral). La identificación de efectos se hace por medio del comando estat teffects de Stata.

La tabla 4 presenta las estimaciones de las dos ecuaciones estructurales del modelo: la primera ecuación refiere los efectos directos e indirectos de la automatización sobre la tasa de informalidad, mientras que la segunda muestra los efectos de la escolaridad en la automatización. Se confirma que la automatización incrementa directamente la tasa de informalidad: el efecto directo es de 0,103 (p < 0,01) puntos porcentuales por cada punto de la probabilidad de automatización en el caso de las ocupaciones, y de 0,159 (p < 0,01) para el promedio sectorial. A su vez, la escolaridad tiene un efecto indirecto estadísticamente significativo, que amortigua ese impacto: -0,008 (p < 0,01) en la especificación ocupacional y -0,004 (p < 0,05) en la sectorial, respectivamente.

Los controles (experiencia, su cuadrado, proporción de mujeres y trabajadores rurales) conservan la significancia y coherencia con respecto al apartado anterior. El modelo es robusto en sus estadísticos de prueba: los tests de log-verosimilitud contra el modelo saturado (LR x2 = 99,35 y 129,74) rechazan la hipótesis de equivalencia estructural, validando la especificación. En síntesis, una parte del efecto de la automatización sobre la informalidad se canaliza por el nivel educativo de las ocupaciones. Este efecto indirecto representa aproximadamente el 2,6 % y el 8,4 % del efecto total en las especificaciones.

Tabla 4 Efectos directos e indirectos de la automatización sobre la informalidad. Modelo de Ecuaciones Estructurales (SEM)

Fuente: elaboración propia con datos del primer trimestre de la ENOE (2025).


La tabla 5 reporta que un incremento de un punto porcentual en la probabilidad de automatización de las ocupaciones reduce directamente el salario informal en el -0,177 % (p < 0,01). La escolaridad actúa como mecanismo de amortiguación: el efecto indirecto es positivo y significativo (0,014, p < 0,01). En cambio, en la especificación sectorial, el efecto directo es positivo, pero no significativo, y el efecto mediado por la educación no resulta estadísticamente relevante.

Tabla 5 Efectos directos e indirectos de la automatización sobre los salarios. Modelo de Ecuaciones Estructurales (SEM)

Fuente: elaboración propia con datos del primer trimestre de la ENOE (Inegi, 2025).


En el caso de los salarios en el sector formal, el efecto directo de la probabilidad de automatización también es negativo y significativo (-0,264, p < 0,01). Además, se observa un efecto indirecto significativo de -0,021 (p < 0,01), lo que implica que la automatización de las ocupaciones no solo reduce los ingresos directamente, sino también de forma mediada por la escolaridad, con mayor impacto en el sector formal. En la especificación sectorial, ambos efectos (directo e indirecto) no alcanzan significación estadística al 5 %, aunque sus signos se mantienen consistentes.

Los efectos indirectos confirman que el capital humano no solo condiciona la probabilidad de automatización, sino que también modula sus efectos sobre los resultados laborales. En particular, la educación actúa como un factor de resiliencia frente a los mecanismos de sustitución tecnológica, mitigando parcialmente las consecuencias negativas sobre la informalidad y los ingresos informales. Esta evidencia empírica respalda la hipótesis central del estudio y valida el enfoque metodológico adoptado.

Los modelos SEM permiten identificar la contribución del ámbito educativo como mecanismo amortiguador. Los efectos indirectos —aunque de menor magnitud que los directos— son estadísticamente significativos, particularmente en el caso del salario informal, en el cual la escolaridad mitiga parcialmente la caída de los ingresos. La consistencia de resultados entre especificaciones ocupacionales y sectoriales, así como la validez empírica de los instrumentos, refuerzan la coherencia teórica del planteamiento: el capital humano no solo influye en el tipo de inserción laboral, sino que también actúa como un escudo ante la sustitución tecnológica.

DISCUSIÓN Y RECOMENDACIONES DE POLÍTICA

La investigación sobre los efectos de la automatización en los mercados laborales se ha centrado, en general, en analizar si la innovación incorporada en el capital actúa como sustituto o complemento del trabajo, con especial énfasis en la desigualdad del ingreso que puede generar (Acemoglu & Restrepo, 2022; Dawid & Neugart, 2023; Maurizio et al., 2023). En el caso de México, la atención se ha dirigido principalmente a la desigualdad salarial asociada al riesgo de automatización a escala individual (Minian & Martínez, 2018; Rodríguez & Meza, 2024), mientras que se ha estudiado menos el impacto potencial sobre la informalidad y, en particular, las transformaciones en la estructura ocupacional.

A diferencia de las aproximaciones previas, este ejercicio empírico profundiza en la relación entre automatización, informalidad y salarios en México, y coincide con la literatura que subraya el papel del capital humano como modulador del impacto tecnológico (Bentaouet-Kattan et al., 2021). La comparación entre modelos de MCO y VI-MC2E muestra que las estimaciones ordinarias tienden a subestimar o distorsionar los efectos de la automatización, mientras que los modelos instrumentales revelan una relación causal más consistente. En este marco, una mayor probabilidad de automatización se vincula con un aumento de la informalidad y una reducción de los salarios en ambos sectores.

Los resultados de las estimaciones SEM aportan un matiz adicional. Indican que la penalización salarial en el sector informal depende más del riesgo ocupacional que del promedio sectorial. También muestran que la educación mitiga parcialmente la caída salarial inducida por el cambio técnico en los dos sectores, aunque este efecto resulta más pronunciado en el empleo formal. Estos hallazgos se inscriben en la línea de estudios que documentan la función protectora del capital humano frente al cambio tecnológico, como los análisis de Ceballos & Guadarrama (2025) o los de Goldin & Katz (2008) sobre la carrera entre educación y tecnología.

Nuestros resultados se relacionan con los de Cebreros et al. (2020), quienes muestran que la educación funciona como un mecanismo de protección frente al riesgo de automatización al influir en la inserción formal e informal de los jóvenes. Mientras su análisis se concentra en los determinantes de la elección sectorial a partir de diferenciales salariales y riesgo ocupacional, nuestro estudio avanza al demostrar que la educación no solo condiciona la probabilidad de exposición, sino que también modula los efectos de la automatización sobre la informalidad y los salarios. De este modo, complementamos y extendemos la evidencia existente al incorporar explícitamente la dimensión de resultados laborales, lo que refuerza el papel del capital humano como factor de resiliencia en contextos de transformación tecnológica.

Gráfico 3 Efectos de la automatización ocupacional sobre resultados laborales

Fuente: elaboración propia con datos de las tablas 2 a la 5.

El gráfico 3 resume los efectos de la automatización ocupacional sobre los distintos resultados laborales y muestra que, si bien la magnitud varía entre modelos, la direccionalidad y significancia son consistentes. Se observa que el canal directo es dominante, pero el canal mediado por la educación tiene una incidencia importante. La identificación de efectos indirectos significativos subraya la necesidad de diseñar políticas que actúen sobre los mecanismos estructurales del mercado laboral. En este sentido, la formación educativa no solo debe pensarse como una vía de mejora de la empleabilidad, sino como una herramienta estratégica para amortiguar los impactos regresivos del cambio tecnológico sobre segmentos vulnerables.

Los resultados del estudio tienen implicaciones relevantes para la formulación de políticas públicas de capacitación, reconversión laboral y prevención de vulnerabilidad en contextos de transformación tecnológica acelerada, en concordancia con las recomendaciones de organismos multilaterales (Cepal, 2023a, 2023b). En este marco, se proponen las siguientes medidas de política.

Formación y recualificación laboral: es inaplazable implementar programas de capacitación permanente orientados a trabajadores en ocupaciones rutinarias, con énfasis en habilidades digitales, cognitivas y no automatizables.

Transición laboral activa: se requieren esquemas que faciliten la movilidad sectorial, como subsidios temporales a la reconversión, incentivos a la contratación formal y transferencias condicionadas a formación.

Enfoque sectorial y territorial: dado que los impactos de la automatización varían entre sectores, las políticas deben tener una dimensión local e industrial diferenciada, articulando esfuerzos entre gobiernos, centros educativos y empresas.

Fortalecimiento del capital humano: la política educativa debe ir más allá del aumento en años de escolaridad, incorporando pertinencia formativa, calidad y vinculación con las demandas del mercado tecnológico.

En síntesis, la automatización del empleo puede agudizar las desigualdades estructurales del mercado laboral mexicano si no se acompaña de una política pública integral, capaz de anticipar, mitigar y reconvertir sus efectos. El capital humano, como muestra este estudio, es simultáneamente un factor de vulnerabilidad y una fuente de resiliencia.

CONCLUSIONES

Este artículo analizó los efectos de la automatización sobre la informalidad y los salarios en México, considerando el nivel educativo como mecanismo mediador. Utilizando datos de la ENOE, correspondientes al primer trimestre del 2025, y una combinación metodológica de modelos VI-MC2E y SEM, se encontró que la automatización aumenta la tasa de informalidad y reduce los ingresos laborales, especialmente en sectores ocupacionales más expuestos al cambio tecnológico.

Las estimaciones SEM mostraron que parte de estos efectos se transmiten a través de la escolaridad. Un mayor nivel educativo promedio reduce el impacto adverso de la automatización; no obstante, este efecto atenuador no elimina por completo el riesgo de precarización, lo cual confirma que la educación, aunque necesaria, no constituye por sí sola una respuesta suficiente frente a los desafíos del cambio tecnológico.

El presente estudio también aporta una innovación metodológica. A diferencia de aproximaciones previas que suelen limitarse a modelos correlacionales o a impactos sobre salarios en el sector formal, la estrategia adoptada aquí articula técnicas complementarias que permiten tanto estimar efectos causales robustos como descomponer los mecanismos estructurales mediante los cuales el capital humano amortigua el impacto de la automatización. Al situar la informalidad en el centro del análisis y al considerar la escolaridad como un canal de transmisión, el trabajo ofrece un marco más amplio para comprender cómo la automatización reproduce desigualdades en mercados laborales segmentados.

Entre las principales limitaciones del estudio destacan: (1) el enfoque transversal de los datos, que impide observar dinámicas de largo plazo o efectos acumulativos de la automatización; (2) la asignación de probabilidades de automatización a escala ocupacional, que aunque robustecida por el análisis sectorial, puede omitir cambios intrarubro o heterogeneidad empresarial; y (3) la exclusión de otros posibles mecanismos de mediación como la calidad educativa o el acceso al crédito.

En conjunto, los hallazgos refuerzan la pertinencia del capital humano como factor de resiliencia, aunque también evidencian que no basta para contrarrestar los riesgos de precarización. De ahí la necesidad de políticas públicas integrales que combinen capacitación, recualificación y fortalecimiento institucional. Solo mediante este tipo de respuestas será posible anticipar y mitigar los efectos de la automatización en mercados laborales segmentados como el mexicano.

AGRADECIMIENTOS

Los autores agradecen los valiosos comentarios y las sugerencias del Comité Editorial y de dos revisores anónimos de la revista que contribuyeron para la mejora de este artículo.

FINANCIAMIENTO

Este trabajo no contó con fuentes de financiamiento, ya que es producto del ejercicio de investigación independiente de los autores.

DECLARACIÓN DE CONFLICTOS DE INTERÉS

Manifestamos que no existe ningún conflicto de interés al respecto. Las opiniones y erratas persistentes son nuestra exclusiva responsabilidad.


NOTAS

1 Es una estimación que resulta de la edad menos seis años de escolaridad.

2 En este ejercicio se aporta evidencia de que, a escala ocupacional, el efecto de la escolaridad promedio sobre la informalidad se canaliza principalmente a través del riesgo de automatización. Un hallazgo relevante para sustentar la validez del instrumento es que, con las estimaciones MCO (dos primeras columnas de la tabla 2), la educación no presenta una asociación significativa con la tasa de informalidad, mientras que la probabilidad de automatización sí lo hace. Las pruebas de instrumentos débiles y sobreidentificación confirman la validez empírica de los instrumentos empleados.



REFERENCIAS

1. Aboal, D., López, A., Maurizio, R. & Queraltó, P. (2021). Automatización y empleo en Uruguay. Desarrollo y Sociedad, (87), 33-72. https://doi.org/10.13043/dys.87.2

2. Acemoglu, D. & Autor, D. (2011). Skills, tasks and technologies: implications for employment and earnings. En O. Ashenfelter & D. Card (eds.), Handbook of Labor Economics, 4B, 1043-1171. Elsevier. https://doi.org/10.1016/S0169-7218(11)02410-5

3. Acemoglu, D. & Autor, D. (2012). What does human capital do? A review of Goldin and Katz's the race between Education and Technology. Journal of Economic Literature, 50(2), 426-463. https://www.nber.org/papers/w17820

4. Acemoglu, D. & Loebbing, S. (2022). What types of tasks drive the skill bias of technical change? NBER Working Paper n.° 30532. https://www.nber.org/system/files/working_papers/w30528/w30528.pdf

5. Acemoglu, D. & Restrepo, P. (2017). Robots and jobs: evidence from US labor markets. Journal of Political Economy, 128(6), 2188-2244. https://www.journals.uchicago.edu/doi/abs/10.1086/705716

6. Acemoglu, D. & Restrepo, P. (2022). Tasks, automation, and the rise in US wage inequality. Econometrica, 90(5), 1973-2016. https://onlinelibrary.wiley.com/doi/full/10.3982/ECTA19815

7. Banxico. (2018). La automatización en México desde una perspectiva regional. Banco de México, Extracto del Reporte sobre las Economías Regionales, 18-21. https://www.banxico.org.mx/ publicaciones-y-prensa/reportes-sobre-las-economias-regionales/recuadros/%7BE3665296-DCDE-78FD-54CB-0420E1CD9A36%7D.pdf

8. Bentaouet-Kattan, R., Macdonald, K. & Patrinos, H. (2021). The role of Education in mitigating automation's effect on wage inequality. Labour, 35(1), 79-104. https://doi.org/10.1111/labr.12187

9. Bonavida, C., Brambilla, I. & Gasparini, L. (2022). Automatización y pandemia: amenazas sobre el empleo en América Latina. Economic Analysis Review, 37(1), 27-74. https://www.rae-ear.org/index.php/rae/article/view/826

10. Bosch, M. & Campos-Vázquez, R. (2010). The trade-offs of social assistance programs in the labor market: the case of the "Seguro Popular" program in Mexico. Inter-American Development Bank Working Paper Series, IDB-WP-205. https://cee.colmex.mx/dts/2010/DT-2010-12.pdf

11. Ceballos, O. & Guadarrama, H. (2025). La automatización del empleo en México y sus efectos sobre las disparidades salariales. Desarrollo y Sociedad, 100(1), 11-31. https://doi.org/10.13043/DYS.100.1

12. Cebreros, A., Heffner-Rodríguez, A., Livas, R. & Puggioni, D. (2020). Tecnologías de automatización y empleo bajo riesgo: el caso de México. Documentos de investigación Banxico, Working Paper n.° 2020-04. https://www.banxico.org.mx/publicaciones-y-prensa/documentos-de-investigacion-del-banco-de-mexico/%7B7A04573D-7C07-D3D3-23C9-EC341B2DA27D%7D.pdf

13. Comisión Económica paraAmérica Latinay el Caribe (Cepal). (2022). Panorama social deAméricaLatina 2021. Cepal. https://www.cepal.org/es/publicaciones/47718-panorama-social-america-latina-2021

14. Comisión Económica para América Latina y el Caribe (Cepal). (2023a). Automatización e inclusión laboral en América Latina: impactos potenciales, vulnerabilidades y propuestas de política pública. Cepal. https://www.cepal.org/es/publicaciones/68024-automatizacion-inclusion-laboral-america-latina-impactos-potenciales

15. Comisión Económica para América Latina y el Caribe (Cepal). (2023b). Panorama social de América Latina y el Caribe 2022: la transformación de la educación como base para el desarrollo sostenible. Cepal. https://www.cepal.org/es/publicaciones/48518-panorama-social-america-latina-caribe-2022-la-transformacion-la-educacion-como

16. Comisión Económica para América Latina y el Caribe (Cepal). (2023c). La protección social de los ingresos en América Latina y el Caribe: debates sobre opciones de política. Cepal. https://repositorio.cepal.org/items/882402ab-09cb-4bec-9024-8388c531c130

17. Dawid, H. & Neugart, M. (2023). Effects of technological change and automation on industry structure and (wage-)inequality: insights from a dynamic task-based model. Journal of Evolutionary Economics, 33, 35-63. https://doi.org/10.1007/s00191-022-00803-5

18. Dougherty, S. & Escobar, O. (2013). The determinants of informality in Mexico's States. OECD Economics Department Working Papers, n.° 1043. OECD Publishing. http://sean.dougherty.org/econ/papers/informal.pdf

19. Egana-delSol, P & Bravo-Ortega, C. (2025). Artificial intelligence and labor market transformations in Latin America. IZA Discussion Paper Series, IZA-DP-No.17746. https://docs.iza.org/dp17746.pdf

20. Espíndola, E. & Suárez, J. I. (2023). Automatización laboral y estratificación en América Latina. En R. Martínez (coord.), Automatización e inclusión laboral en América Latina. Impactos potenciales, vulnerabilidades y propuestas de política (pp. 25-29). Cepal. https://repositorio.cepal.org/entities/publication/148289b1-fa6a-4249-9da5-bd8383f39294

21. Fernández-Macías, E. (2018). Automation, digitisation and platforms: implications for work and employment. Publications Office of the European Union, Eurofound, 1-26. https://doi.org/10.2806/090974

22. Filippi, E., Bannó, M. & Trento, S. (2023). Automation technologies and their impact on employment: a review, synthesis and future research agenda. Technological Forecasting and Social Change, 191, 1-21. https://doi.org/10.1016/j.techfore.2023.122448

23. Frey, C. & Osborne, M. (2013). The future of employment: how susceptible are jobs to computerisation? Oxford Martin School Working Paper.

24. Frey, C. & Osborne, M. (2017). The future of employment: how susceptible are jobs to computerisation? Technological Forecasting and Social Change, 114, 254-280. http://dx.doi.org/10.1016/j.techfore.2016.08.019

25. Gasparini, L. & Tornarolli, L. (2009). Labor informality in Latin America and the Caribbean: patterns and trends from household survey microdata. Desarrollo y Sociedad, 63, 13-80. https://doi.org/10.13043/dys.63.1

26. Instituto Nacional de Estadística y Geografía (Inegi). (2025). Encuesta Nacional de Ocupación y Empleo (ENOE), microdatos del primer trimestre de 2025. https://www.inegi.org.mx/programas/enoe/

27. Katz, L. & Murphy, K. (1992). Changes in relative wages, 1963-1987: supply and demand factors. Quarterly Journal of Economics, 107(1), 35-78. http://www.jstor.org/stable/2118323

28. Keynes, J. M. (1930). Economic possibilities for our grandchildren. En Essays in persuasion. Macmillan. Yale University. https://www.econ.yale.edu/smith/econ116a/keynes1.pdf

29. La Porta, R. L. & Shleifer, A. (2014). Informality and development. Journal of Economic Perspectives, 28(3), 109-26. https://doi.org/10.1257/jep.28.3.109

30. Maloney, W. F. (2004). Informality revisited. World Development, 32(7), 1159-1178. https://doi.org/10.1016/j.worlddev.2004.01.008

31. Martínez, J. (2009). Empleo informal y segmentación del mercado de trabajo urbano en México (Tesis doctoral, Universidad Autónoma de Barcelona, España). https://ddd.uab.cat/record/63854

32. Maurizio, R., Fernández, A. & Catania, M. (2023). Automatización, ocupaciones y tareas. H-Industria, 32(17), 27-55. https://doi.org/10.56503/H-Industria/n.32(17)pp.27-55

33. McKinsey Global Institute. (2017). Un futuro que funciona: automatización, empleo y productividad. Resumen ejecutivo. https://www.mckinsey.com/~/media/mckinsey/featured%20insights/digital%20disruption/harnessing%20automation%20for%20a%20future%20that%20works/a-future-that-works-executive-summary-spanish-mgi-march-24-2017.pdf

34. Minian, I. & Martínez, A. (2018). El impacto de las nuevas tecnologías en el empleo en México. Problemas del Desarrollo. Revista Latinoamericana de Economía, 195(49), 27-53. http://dx.doi. org/10.22201/iiec.20078951e.2018.195.64001

35. Perry, G., Maloney, W., Arias, O., Fajnzylber, P., Mason, A. & Saavedra-Chanduvi, J. (2007). Informality: exit and exclusion. The World Bank. https://documents.worldbank.org/curated/en/889371468313790669

36. Ricardo, D. (1821). Principles of political economy and taxation (3rd ed.). John Murray.

37. Rodríguez, L. & Meza, L. (2024). El riesgo de automatización del empleo en México: un análisis regional y sectorial. Economía Teoría y Práctica, 60(1), 35-68. https://doi.org/10.24275/ETYPUAM/NE/602024/Rodriguez

38. Sáenz, L. & Martínez, J. (2017). El papel de la escolaridad en el mercado informal. RECIE. Revista Electrónica Científica de Investigación Educativa, 3(2), 1013-1020. https://doi.org/10.33010/recie.v3i2.1888

39. Sostero, M. (2020). Automation and robots in services: review of data and taxonomy. JRC Working Papers Series on Labour, Education and Technology, n.° 2020/14. European Commission, Joint Research Centre (JRC), Seville. https://www.econstor.eu/handle/10419/231346

40. Temkin, B. & Cruz, J. (2019). Determinantes subnacionales de la informalidad laboral en México. Realidad, Datos y Espacio. Revista Internacional de Estadística y Geografía, 10(2), 46-60. https://rde.inegi.org.mx/index.php/2019/08/20/determinantes-subnacionales-de-la-informalidad-laboral-en-mexico/

41. Tinbergen, J. (1975). Income distribution: analysis and policies. North-Holland.

42. Tubaro, P, Casilli, A. & Coville, M. (2024). The digital labour of artificial intelligence in Latin America: a comparison of Argentina, Brazil, and Venezuela. Globalizations, 1-16. https://doi.org/10.1080/14747731.2025.2465171

43. Varela, R. & Tavares, R. (2023). Cambio tecnológico y desigualdad de ingresos en México. Contaduría y Administración, 69(3), 247-270. http://dx.doi.org/10.22201/fca.24488410e.2024.4704




Inicio

Creative Commons Atribución-NoComercial- CompartirIgual 4.0 Internacional (CC BY-NC-SA 4.0)